Chapter 3: Quality Control and Improvement Charts : XbarS and SChart
XbarS and SChart
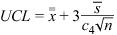
The XbarS class plots the mean of each sample as well as control limits computed using the mean of the in-sample standard deviations. The positions of the control limits are determined by the equations
where is the grand mean, the average of all the observations.
The factor of three in the above equations can be changed by setting the chart attribute ControlLimit. The attribute applies similarly to all of the control charts.
XbarS Example
The process of forging piston rings for automobile engines was monitored. The inside diameters of 25 samples, each containing 5 piston rings, were measured. The center line is at 74.001, the average diameter of all of the measured piston rings. The upper and lower control limits are determined by the average of the standard deviations of the 25 samples of 5 rings (Montgomery 215).
View code file
 
import com.imsl.chart.*;
import com.imsl.chart.qc.*;
 
public class SampleXbarS extends JFrameChart {
static final double diameter[][] = {
{74.03, 74.002, 74.019, 73.992, 74.008},
{73.995, 73.992, 74.001, 74.011, 74.004},
{73.988, 74.024, 74.021, 74.005, 74.002},
{74.002, 73.996, 73.993, 74.015, 74.009},
{73.992, 74.007, 74.015, 73.989, 74.014},
{74.009, 73.994, 73.997, 73.985, 73.993},
{73.995, 74.006, 73.994, 74, 74.005},
{73.985, 74.003, 73.993, 74.015, 73.988},
{74.008, 73.995, 74.009, 74.005, 74.004},
{73.998, 74, 73.99, 74.007, 73.995},
{73.994, 73.998, 73.994, 73.995, 73.99},
{74.004, 74, 74.007, 74, 73.996},
{73.983, 74.002, 73.998, 73.997, 74.012},
{74.006, 73.967, 73.994, 74, 73.984},
{74.012, 74.014, 73.998, 73.999, 74.007},
{74, 73.984, 74.005, 73.998, 73.996},
{73.994, 74.012, 73.986, 74.005, 74.007},
{74.006, 74.01, 74.018, 74.003, 74},
{73.984, 74.002, 74.003, 74.005, 73.997},
{74, 74.01, 74.013, 74.02, 74.003},
{73.982, 74.001, 74.015, 74.005, 73.996},
{74.004, 73.999, 73.99, 74.006, 74.009},
{74.01, 73.989, 73.99, 74.009, 74.014},
{74.015, 74.008, 73.993, 74, 74.01},
{73.982, 73.984, 73.995, 74.017, 74.013}
};
public SampleXbarS() {
Chart chart = getChart();
AxisXY axis = new AxisXY(chart);
XbarS xbars = new XbarS(axis, diameter);
 
xbars.getUpperControlLimit().setTitle("ucl = {0,number,0.0000}");
axis.getAxisX().getAxisTitle().setTitle("Sample Number");
axis.getAxisX().getAxisLabel().setTextFormat("0");
axis.getAxisY().getAxisTitle().setTitle("Piston Ring Diameter");
axis.getAxisY().setAutoscaleInput(axis.AUTOSCALE_OFF);
axis.getAxisY().setWindow(73.985, 74.015);
}
public static void main(String argv[]) {
new SampleXbarS().setVisible(true);
}
}
The SChart plots the in-sample standard deviations of the observations as well as control limits computed using
The factor c4 is such that is an unbiased estimator of standard deviation.
SChart Example
This example uses the same piston ring data as was used in XbarS, but now the standard deviations of the samples are plotted. The center line is at 0.009, the average of the sample standard deviations.
View code file
 
import com.imsl.chart.*;
import com.imsl.chart.qc.*;
import javax.swing.JFrame;
 
public class SampleSChart extends JFrameChart {
public SampleSChart() {
Chart chart = getChart();
AxisXY axis = new AxisXY(chart);
SChart schart = new SChart(axis, SampleXbarS.diameter);
schart.getUpperControlLimit().setTitle("ucl = {0,number,0.0000}");
axis.getAxisX().getAxisTitle().setTitle("Sample Number");
axis.getAxisX().getAxisLabel().setTextFormat("0");
String title = "Standard Deviations of Piston Ring Diameters";
axis.getAxisY().getAxisTitle().setTitle(title);
axis.getAxisY().getAxisLabel().setTextFormat("0.000");
axis.getAxisY().setAutoscaleInput(axis.AUTOSCALE_OFF);
axis.getAxisY().setWindow(0.0, 0.02);
}
public static void main(String argv[]) {
new SampleSChart().setVisible(true);
}
}
Often the XbarS and SChart are plotted together. The XbarS class contains the static method createCharts(), which creates this pair of plots on a single chart.
XbarSCombo Example
This example combines the charts in XbarS and SChart. The Viewport attribute of each is set so that they can appear on the same chart.
View code file
 
import com.imsl.chart.*;
import com.imsl.chart.qc.*;
 
public class SampleXbarSCombo extends JFrameChart {
public SampleXbarSCombo() {
Chart chart = getChart();
ShewhartControlChart charts[] =
XbarS.createCharts(chart, SampleXbarS.diameter);
AxisXY axis = (AxisXY)(charts[0].getAxis());
axis.getAxisY().setAutoscaleInput(axis.AUTOSCALE_OFF);
axis.getAxisY().setWindow(73.985, 74.015);
axis = (AxisXY)(charts[1].getAxis());
axis.getAxisY().getAxisLabel().setTextFormat("0.000");
axis.getAxisY().setAutoscaleInput(axis.AUTOSCALE_OFF);
axis.getAxisY().setWindow(0.0, 0.02);
String title = "ucl = {0,number,0.0000}";
((SChart)charts[1]).getUpperControlLimit().setTitle(title);
}
public static void main(String argv[]) {
new SampleXbarSCombo().setVisible(true);
}
}
 
XbarSUnequal Example
The example again uses the piston ring data, but now the sample size is not uniform. The upper and lower control limits are now stair step lines. The control limits are farther apart for smaller samples.
It is also possible to plot just the XbarS or SChart with unequal sample sizes.
View code file
 
import com.imsl.chart.*;
import com.imsl.chart.qc.*;
 
public class SampleXbarSUnequal extends JFrameChart {
 
static final double diameter[][] = {
{74.03, 74.002, 74.019, 73.992, 74.008},
{73.995, 73.992, 74.001},
{73.988, 74.024, 74.021, 74.005, 74.002},
{74.002, 73.996, 73.993, 74.015, 74.009},
{73.992, 74.007, 74.015, 73.989, 74.014},
{74.009, 73.994, 73.997, 73.985},
{73.995, 74.006, 73.994, 74},
{73.985, 74.003, 73.993, 74.015, 73.988},
{74.008, 73.995, 74.009, 74.005},
{73.998, 74, 73.99, 74.007, 73.995},
{73.994, 73.998, 73.994, 73.995, 73.99},
{74.004, 74, 74.007, 74, 73.996},
{73.983, 74.002, 73.998},
{74.006, 73.967, 73.994, 74, 73.984},
{74.012, 74.014, 73.998},
{74, 73.984, 74.005, 73.998, 73.996},
{73.994, 74.012, 73.986, 74.005},
{74.006, 74.01, 74.018, 74.003, 74},
{73.984, 74.002, 74.003, 74.005, 73.997},
{74, 74.01, 74.013},
{73.982, 74.001, 74.015, 74.005, 73.996},
{74.004, 73.999, 73.99, 74.006, 74.009},
{74.01, 73.989, 73.99, 74.009, 74.014},
{74.015, 74.008, 73.993, 74, 74.01},
{73.982, 73.984, 73.995, 74.017, 74.013}
};
 
public SampleXbarSUnequal() {
Chart chart = getChart();
ShewhartControlChart charts[] = XbarS.createCharts(chart, diameter);
AxisXY axis = (AxisXY) (charts[0].getAxis());
axis.getAxisY().setAutoscaleInput(Axis.AUTOSCALE_OFF);
axis.getAxisY().setWindow(73.980, 74.020);
String uclTitle = "ucl = {0,number,0.0000}";
((SChart) charts[1]).getUpperControlLimit().setTitle(uclTitle);
}
 
public static void main(String argv[]) {
new SampleXbarSUnequal().setVisible(true);
}
}