JMSLTM Numerical Library 6.0

com.imsl.stat
Class ARMAOutlierIdentification

java.lang.Object
  extended by com.imsl.stat.ARMAOutlierIdentification
All Implemented Interfaces:
Serializable, Cloneable

public class ARMAOutlierIdentification
extends Object
implements Serializable, Cloneable

Detects and determines outliers and simultaneously estimates the model parameters in a time series whose underlying outlier free series follows a general seasonal or nonseasonal ARMA model. This class also allows computation of forecasts.

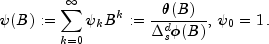
Consider a univariate time series {Y_t} that can be described by the following multiplicative seasonal ARIMA model of order (p,0,q) times (0,d,0)_s:

Y_t - mu = frac{theta(B)}{Delta_s^d phi(B)} a_t,, t = 1,ldots,n

Here, Delta_s^d=(1-B^s)^d,, theta(B)=1-theta_1B-ldots-theta_qB^q,, phi(B)=1-phi_1B-ldots-phi_pB^p. B is the lag operator, B^kY_t=Y_{t-k}, {a_t} is a white noise process, and mu denotes the mean of the series {Y_t}.

Outlier detection and parameter estimation

In general, {Y_t} is not directly observable due to the influence of outliers. Chen and Liu (1993) distinguish between four types of outliers: innovational outliers (IO), additive outliers (AO), temporary changes (TC) and level shifts (LS). If an outlier occurs as the last observation of the series, then Chen and Liu's algorithm is unable to determine the outlier's classification. In class ARMAOutlierIdentification, such an outlier is called a UI (unable to identify) and is treated as an innovational outlier.

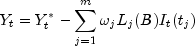
In order to take the effects of multiple outliers occurring at time points t_1,ldots,t_m into account, Chen and Liu consider the following model:

Y_t^ast - mu = sum_{j=1}^momega_jL_j(B)I_t(t_j)+frac{theta(B)}{Delta_s^dphi(B)}a_t

Here, {Y_t^ast} is the observed outlier contaminated series, and omega_j and L_j(B) denote the magnitude and dynamic pattern of outlier j, respectively. I_t(t_j) is an indicator function that determines the temporal course of the outlier effect, I_{t_j}(t_j)=1, I_t(t_j)=0 otherwise. Note that L_j(B) operates on I_t via B^kI_t=I_{t-k}, , k=0,1,ldots.

The last formula shows that the outlier free series {Y_t} can be obtained from the original series {Y_t^ast} by removing all occuring outlier effects:

Y_t = Y_t^ast-sum_{j=1}^momega_jL_j(B)I_t(t_j)

The different types of outliers are charaterized by different values for L_j(B):

  1. L_j(B)=frac{theta(B)}{Delta_s^dphi(B)} for an innovational outlier,
  2. L_j(B)=1 for an additive outlier,
  3. L_j(B)=(1-B)^{-1} for a level shift outlier and
  4. L_j(B)=(1-delta B)^{-1},, 0 lt delta lt 1, for a temporary change outlier.

Class ARMAOutlierIdentification is an implementation of Chen and Liu's algorithm. It determines the coefficients in phi(B) and theta(B) and the outlier effects in the model for the observed series jointly in three stages. The magnitude of the outlier effects is determined by least squares estimates. Outlier detection itself is realized by examination of the maximum value of the standardized statistics of the outlier effects. For a detailed description, see Chen and Liu's original paper (1993).

Intermediate and final estimates for the coefficients in phi(B) and theta(B) are computed by the compute methods from JMSL classes ARMA and ARMAMaxLikelihood. If the roots of phi(B) or theta(B) lie on or within the unit circle, then the algorithm stops with an appropriate exception. In this case, different values for p and q should be tried.

Forecasting

From the relation between original and outlier free series,

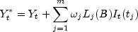
Y_t^ast = Y_t+sum_{j=1}^momega_jL_j(B)I_t(t_j)

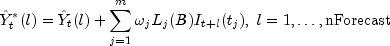
it follows that the Box-Jenkins forecast at origin t for lead time l, hat{Y}_t^ast(l), can be computed as

hat{Y}_t^ast(l) = hat{Y}_t(l)+sum_{j=1}^m omega_jL_j(B)I_{t+l}(t_j)  ,; l=1,ldots,{rm{nForecast}}

Therefore, computation of the forecasts for {Y^ast_t} is done in two steps:
  1. Computation of the forecasts for the outlier free series {Y_t}.
  2. Computation of the forecasts for the original series {Y^ast_t} by adding the multiple outlier effects to the forecasts for {Y_t}.

Step 1: Computation of the forecasts for the outlier free series {Y_t}

Since

varphi(B)(Y_t-mu) = theta(B)a_t

where

varphi(B):=Delta_s^dphi(B)=1-varphi_1B-ldots-varphi_{p+sd}B^{p+sd}

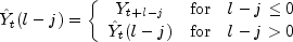
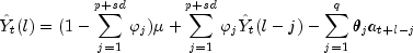
the Box-Jenkins forecast at origin t for lead time l, hat{Y}_t(l), can be computed recursively as

hat{Y}_t(l)=(1-sum_{j=1}^{p+sd}varphi_j)mu+sum_{j=1}^{p+sd}varphi_jhat{Y}_t(l-j)-sum_{j=1}^qtheta_ja_{t+l-j}

Here,

hat{Y}_t(l-j)= left{ begin{array}{ccc}
                            Y_{t+l-j} & {mbox{for}} & l-j le 0 \
                            hat{Y}_t(l-j) & {mbox{for}} & l-j gt 0
                            end{array}
                            right.

and

a_k = left{ begin{array}{ccc}
                            0 & {mbox{for}} & k le max{1, p+sd} \
                            Y_k-hat{Y}_{k-1}(1) & {mbox{for}} & k = max{1, p+sd}+1,ldots,n
                  end{array}
                  right.

Step 2: Computation of the forecasts for the original series {{Y_t}^*} by adding the multiple outlier effects to the forecasts for {Y_t}

The formulas for L_j(B) for the different types of outliers are as follows:

Innovational outlier (IO)

L_j(B) = frac{theta(B)}{Delta_s^dphi(B)}:=psi(B)=sum_{k=0}^inftypsi_kB^k,, psi_0=1

Additive outliers (AO)

L_j(B) = 1

Level shifts (LS)

L_j(B) = frac{1}{1-B}=sum_{k=0}^{infty}B^k

Temporary changes (TC)

L_j(B) = frac{1}{1-delta B}=sum_{k=0}^inftydelta^kB^k

Assuming the outlier occurs at time point t_j, the outlier impact is therefore:

Innovational outliers (IO)

omega_jL_j(B)I_t(t_j) = left{ begin{array}{ccc}
                                        0 & {mbox{for}} &  t lt t_j \
                                      omega_j psi_k & {mbox{for}} & t=t_j+k, , k ge 0
                            end{array}
                            right.

Additive outliers (AO)

omega_jL_j(B)I_t(t_j) = left{ begin{array}{ccc}
                                              0 & {mbox{for}} &  t ne t_j \
                                       omega_j & {mbox{for}} & t=t_j
                              end{array}
                              right.

Level shifts (LS)

omega_jL_j(B)I_t(t_j) = left{ begin{array}{ccc}
                                              0 & {mbox{for}} &  t lt t_j \
                                       omega_j & {mbox{for}} &  t=t_j+k, , k ge 0
                              end{array}
                              right.

Temporary changes (TC)

omega_jL_j(B)I_t(t_j) = left{ begin{array}{ccc}
                                        0 & {mbox{for}} &  t lt t_j \
                                      omega_j delta^k & {mbox{for}} & t=t_j+k, , k ge 0
                            end{array}
                            right.

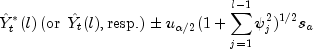
From these formulas, the forecasts hat{Y}_t^ast(l) can be computed easily. The 100(1-alpha) percent probability limits for Y_{t+l}^ast and Y_{t+l} are given by

hat{Y}_t^ast(l), {rm{(or }},,, hat{Y}_t(l) {rm{, resp.)}} pm u_{alpha/2}(1+sum_{j=1}^{l-1}psi_j^2)^{1/2}s_a

where u_{alpha/2} is the 100(1-alpha/2) percentile of the standard normal distribution, s_a^2 is an estimate of the variance sigma_a^2 of the random shocks, and the psi weights {psi_j} are the coefficients in

psi(B) := sum_{k=0}^infty psi_k B^k := frac{theta(B)}{Delta_s^dphi(B)}, , psi_0=1 ,.

For a detailed explanation of these concepts, see chapter 5:"Forecasting" in Box, Jenkins and Reinsel (1994).

See Also:
Example 1, Example 2, Example 3, Serialized Form

Field Summary
static int ADDITIVE
          Indicates detection of an additive outlier.
static int INNOVATIONAL
          Indicates detection of an innovational outlier.
static int LEVEL_SHIFT
          Indicates detection of a level shift outlier.
static int TEMPORARY_CHANGE
          Indicates detection of a temporary change outlier.
static int UNABLE_TO_IDENTIFY
          Indicates detection of an outlier that cannnot be categorized.
 
Constructor Summary
ARMAOutlierIdentification(double[] z)
          Constructor for ARMAOutlierIdentification.
 
Method Summary
 void compute(int[] model)
          Detects and determines outliers and simultaneously estimates the model parameters for the given time series.
 void computeForecasts(int nForecast)
          Computes forecasts, associated probability limits and psi weights for an outlier contaminated time series whose underlying outlier free series obeys a general seasonal or non-seasonal ARMA model.
 double getAIC()
          Returns Akaike's information criterion (AIC).
 double getAICC()
          Returns Akaike's Corrected Information Criterion (AICC).
 double[] getAR()
          Returns the final autoregressive parameter estimates.
 double getBIC()
          Returns the Bayesian Information Criterion (BIC).
 double getConstant()
          Returns the constant parameter estimate.
 double[] getDeviations()
          Returns the deviations used for calculating the forecast confidence limits.
 double[] getForecast()
          Returns forecasts for the original outlier contaminated series.
 double[] getMA()
          Returns the final moving average parameter estimates.
 int getNumberOfOutliers()
          Returns the number of outliers detected.
 double[] getOmegaWeights()
          Returns the omega weights for the detected outliers.
 double[] getOutlierFreeForecast()
          Returns forecasts for the outlier free series.
 double[] getOutlierFreeSeries()
          Returns the outlier free series.
 int[][] getOutlierStatistics()
          Returns the outlier statistics.
 double[] getPsiWeights()
          Returns the psi weights of the infinite order moving average form of the model.
 double[] getResidual()
          Returns the residuals.
 double getResidualStandardError()
          Returns the residual standard error of the outlier free series.
 double[] getTauStatistics()
          Returns the t value for each detected outlier.
 void setAccuracyTolerance(double epsilon)
          Sets the tolerance value controlling the accuracy of the parameter estimates.
 void setConfidence(double confidence)
          Sets the confidence level for calculating confidence limit deviations returned from getDeviations.
 void setCriticalValue(double critical)
          Sets the critical value used as a threshold during outlier detection.
 void setDelta(double delta)
          Sets the dampening effect parameter.
 void setRelativeError(double relativeError)
          Sets the stopping criterion for use in the nonlinear equation solver.
 
Methods inherited from class java.lang.Object
clone, equals, finalize, getClass, hashCode, notify, notifyAll, toString, wait, wait, wait
 

Field Detail

ADDITIVE

public static final int ADDITIVE
Indicates detection of an additive outlier.

See Also:
Constant Field Values

INNOVATIONAL

public static final int INNOVATIONAL
Indicates detection of an innovational outlier.

See Also:
Constant Field Values

LEVEL_SHIFT

public static final int LEVEL_SHIFT
Indicates detection of a level shift outlier.

See Also:
Constant Field Values

TEMPORARY_CHANGE

public static final int TEMPORARY_CHANGE
Indicates detection of a temporary change outlier.

See Also:
Constant Field Values

UNABLE_TO_IDENTIFY

public static final int UNABLE_TO_IDENTIFY
Indicates detection of an outlier that cannnot be categorized.

See Also:
Constant Field Values
Constructor Detail

ARMAOutlierIdentification

public ARMAOutlierIdentification(double[] z)
Constructor for ARMAOutlierIdentification.

Parameters:
z - a double array containing the observations.
Method Detail

compute

public final void compute(int[] model)
                   throws ARMAMaxLikelihood.NonInvertibleException,
                          ARMAMaxLikelihood.NonStationaryException,
                          ARMAMaxLikelihood.InitialMAException,
                          ZeroPolynomial.DidNotConvergeException,
                          ARMA.MatrixSingularException,
                          ARMA.TooManyCallsException,
                          ARMA.IncreaseErrRelException,
                          ARMA.NewInitialGuessException,
                          ARMA.IllConditionedException,
                          ARMA.TooManyITNException,
                          ARMA.TooManyFcnEvalException,
                          ARMA.TooManyJacobianEvalException,
                          SingularMatrixException,
                          Cholesky.NotSPDException
Detects and determines outliers and simultaneously estimates the model parameters for the given time series.

Parameters:
model - an int array of length 4 containing the numbers p, q, s, d of the text{ARIMA}(p,0,q)times(0,d,0)_s model the outlier free series is following. It is required that p, q and d are non-negative and s is positive and consistent with z.length.
Throws:
ARMAMaxLikelihood.NonStationaryException - is thrown if the intermediate or final maximum likelihood estimates for the time series are nonstationary.
ARMAMaxLikelihood.NonInvertibleException - is thrown if the intermediate or final maximum likelihood estimates for the time series are noninvertible.
ARMAMaxLikelihood.InitialMAException - is thrown if the initial values provided for the moving average terms are noninvertible. In this case, ARMAMaxLikelihood terminates and does not compute the time series estimates.
ZeroPolynomial.DidNotConvergeException - is thrown if the algorithm computing the roots of the AR- or MA- polynomial does not converge.
ARMA.MatrixSingularException - is thrown if the input matrix is singular.
ARMA.TooManyCallsException - is thrown if the number of calls to the function has exceeded the maximum number of iterations times the number of moving average (MA) parameters + 1.
ARMA.IncreaseErrRelException - is thrown if the bound for the relative error is too small.
ARMA.NewInitialGuessException - is thrown if the iteration has not made good progress.
ARMA.IllConditionedException - is thrown if the problem is ill-conditioned.
ARMA.TooManyITNException - is thrown if the maximum number of iterations is exceeded.
ARMA.TooManyFcnEvalException - is thrown if the maximum number of function evaluations is exceeded.
ARMA.TooManyJacobianEvalException - is thrown if the maximum number of Jacobian evaluations is exceeded.
SingularMatrixException - is thrown if during the computation of a small perturbation of the matrix product A^TA, it is found that A, the matrix used in the determination of the omega weights, is singular.
Cholesky.NotSPDException - is thrown if during the computation of a small perturbation of the matrix product A^TA, it is found that A, the matrix used in the determination of the omega weights, is not positive definite.

computeForecasts

public final void computeForecasts(int nForecast)
Computes forecasts, associated probability limits and psi weights for an outlier contaminated time series whose underlying outlier free series obeys a general seasonal or non-seasonal ARMA model.

Parameters:
nForecast - an int scalar containing the maximum lead time for forecasts. nForecast must be greater than 0. Forecast origin is the time point of the last observed value in the time series, text{n}. Forecasts are computed for lead times 1, 2, ldots, text{nForecast}, i.e. time points text{n}+1, text{n}+2,ldots,text{n}+text{nForecast}. Note that the compute method must be invoked first before invoking this method. Otherwise, the method throws an IllegalStateException exception.

getAIC

public double getAIC()
Returns Akaike's information criterion (AIC).

Returns:
a double scalar containing Akaike's information criterion (AIC) for the outlier free series. The compute method must be called before invoking this method. Otherwise, an IllegalStateException exception is thrown.

getAICC

public double getAICC()
Returns Akaike's Corrected Information Criterion (AICC).

Returns:
a double scalar containing Akaike's Corrected Information Criterion (AICC) for the outlier free series. The compute method must be called before invoking this method. Otherwise, an IllegalStateException exception is thrown.

getAR

public double[] getAR()
Returns the final autoregressive parameter estimates.

Returns:
a double array of length p = model[0] containing the final autoregressive parameter estimates. Note that the compute method must be invoked first before invoking this method. Otherwise, the method throws an IllegalStateException exception.

getBIC

public double getBIC()
Returns the Bayesian Information Criterion (BIC).

Returns:
a double scalar containing the Bayesian Information Criterion (BIC) for the outlier free series. The compute method must be called before invoking this method. Otherwise, an IllegalStateException exception is thrown.

getConstant

public double getConstant()
Returns the constant parameter estimate.

Returns:
a double scalar containing the constant parameter estimate. The compute method must be invoked first before invoking this method. Otherwise, the method throws an IllegalStateException exception.

getDeviations

public double[] getDeviations()
Returns the deviations used for calculating the forecast confidence limits.

Returns:
a double array of length nForecast containing the deviations from each forecast for calculating forecast confidence intervals. The confidence level is specified in setConfidence. Method computeForecasts has to be invoked before this method is called. Otherwise, an IllegalStateException exception is thrown.

getForecast

public double[] getForecast()
Returns forecasts for the original outlier contaminated series.

Returns:
a double array of length nForecast containing the forecasts for the original series. Method computeForecasts has to be invoked before this method is called. Otherwise, an IllegalStateException exception is thrown.

getMA

public double[] getMA()
Returns the final moving average parameter estimates.

Returns:
a double array of length q = model[1] containing the final moving average parameter estimates. Note that the compute method must be invoked first before invoking this method. Otherwise, the method throws an IllegalStateException exception.

getNumberOfOutliers

public int getNumberOfOutliers()
Returns the number of outliers detected.

Returns:
an int scalar containing the number of outliers detected. The compute method must be invoked first before invoking this method. Otherwise, an IllegalStateException exception is thrown.

getOmegaWeights

public double[] getOmegaWeights()
Returns the omega weights for the detected outliers.

Returns:
a double array containing the computed omega weights for the detected outliers. If the number of detected outliers equals zero, then an array of length zero is returned. The compute method must be invoked before using this method. Otherwise, an IllegalStateException exception is thrown.

getOutlierFreeForecast

public double[] getOutlierFreeForecast()
Returns forecasts for the outlier free series.

Returns:
a double array of length nForecast containing the forecasts for the outlier free series. Method computeForecasts has to be invoked before this method is called. Otherwise, an IllegalStateException exception is thrown.

getOutlierFreeSeries

public double[] getOutlierFreeSeries()
Returns the outlier free series.

Returns:
a double array containing the outlier free series. The compute method must be called before invoking this method. Otherwise, an IllegalStateException exception is thrown.

getOutlierStatistics

public int[][] getOutlierStatistics()
Returns the outlier statistics.

Returns:
an int matrix of length nOutliers by 2, where nOutliers is the number of detected outliers, containing the outlier statistics. The first column contains the time at which the outlier was observed (time ranging from 1 to z.length, the number of observations in the time series) and the second column contains an identifier indicating the type of outlier observed. Outlier types fall into one of five categories:
Identifier Outlier type
INNOVATIONAL Innovational Outliers (IO)
ADDITIVE Additive Outliers (AO)
LEVEL_SHIFT Level Shift Outliers (LS)
TEMPORARY_CHANGE Temporary Change Outliers (TC)
UNABLE_TO_IDENTIFY Unable to Identify (UI)

If the number of detected outliers equals zero, then an int array of size 0 is returned.

The compute method must be invoked first before invoking this method. Otherwise, an IllegalStateException exception is thrown.

getPsiWeights

public double[] getPsiWeights()
Returns the psi weights of the infinite order moving average form of the model.

Returns:
a double array of length nForecast containing the psi weights of the infinite order moving average form of the model for the outlier free series. Method computeForecasts must be invoked before this method is called. Otherwise, an IllegalStateException exception is thrown.

getResidual

public double[] getResidual()
Returns the residuals.

Returns:
a double array containing the residuals for the outlier free series at the final parameter estimation point. The compute method must be invoked first before invoking this method. Otherwise, the method throws an IllegalStateException exception.

getResidualStandardError

public double getResidualStandardError()
Returns the residual standard error of the outlier free series.

Returns:
a double scalar containing the standard error of the outlier free series. Note that the compute method must be invoked first before invoking this method. Otherwise, an IllegalStateException exception is thrown.

getTauStatistics

public double[] getTauStatistics()
Returns the t value for each detected outlier.

Returns:
a double array containing the t statistics for each detected outlier. If the number of detected outliers equals zero, then a vector of length 0 is returned. The compute method must be invoked before using this method. Otherwise, an IllegalStateException exception is thrown.

setAccuracyTolerance

public void setAccuracyTolerance(double epsilon)
Sets the tolerance value controlling the accuracy of the parameter estimates.

Parameters:
epsilon - a double scalar, a positive tolerance value controlling the accuracy of parameter estimates during outlier detection. Default: epsilon = 0.001.

setConfidence

public void setConfidence(double confidence)
Sets the confidence level for calculating confidence limit deviations returned from getDeviations.

Parameters:
confidence - a double scalar specifying the confidence level used in computing forecast confidence intervals. Typical choices for confidence are 0.90, 0.95, and 0.99. confidence must be greater than 0.0 and less than 1.0. Default: confidence = 0.95.

setCriticalValue

public void setCriticalValue(double critical)
Sets the critical value used as a threshold during outlier detection.

Parameters:
critical - a double scalar, the critical value used as a threshold for the statistics used in the outlier detection. critical must be greater than zero. Default: critical = 3.0.

setDelta

public void setDelta(double delta)
Sets the dampening effect parameter.

Parameters:
delta - a double scalar, the dampening effect parameter used in the detection of a Temporary Change Outlier (TC). delta must be greater than 0 and less than 1. Default: delta = 0.7.

setRelativeError

public void setRelativeError(double relativeError)
Sets the stopping criterion for use in the nonlinear equation solver.

Parameters:
relativeError - a double positive scalar containing the stopping criterion for use in the nonlinear equation solver used in the least-squares algorithm.
Default: relativeError= 1.0e-10.

JMSLTM Numerical Library 6.0

Copyright © 1970-2009 Visual Numerics, Inc.
Built September 1 2009.