|
JMSLTM Numerical Library 6.0 | |||||||
| PREV CLASS NEXT CLASS | FRAMES NO FRAMES | |||||||
| SUMMARY: NESTED | FIELD | CONSTR | METHOD | DETAIL: FIELD | CONSTR | METHOD | |||||||
java.lang.Objectcom.imsl.stat.Covariances
public class Covariances
Computes the sample variance-covariance or correlation matrix.
Class Covariances computes estimates of correlations,
covariances, or sums of squares and crossproducts for a data matrix
x. Weights and frequencies are allowed but not
required.
The means, (corrected) sums of squares, and (corrected) sums of
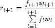
crossproducts are computed using the method of provisional means. Let
denote the mean based on i
observations for the k-th variable,
denote
the frequency of the i-th observation,
denote the weight of the i-th observations, and
denote the sum of crossproducts (or sum of squares if j = k)
based on i observations. Then the method of provisional
means finds new means and sums of crossproducts as shown in the example
below.
The means and crossproducts are initialized as follows:
![]()
![]()
where p denotes the number of variables. Letting
denote the k-th variable of
observation i + 1, each new observation leads to the
following updates for
and
using the update constant
:

![]()
![]()
The default value for weights and frequencies is 1. Means and variances are computed based on the valid data for each variable or, if required, based on all the valid data for each pair of variables.
| Nested Class Summary | |
|---|---|
static class |
Covariances.NonnegativeFreqException
Frequencies must be nonnegative. |
static class |
Covariances.NonnegativeWeightException
Weights must be nonnegative. |
| Field Summary | |
|---|---|
static int |
CORRECTED_SSCP_MATRIX
Indicates corrected sums of squares and crossproducts matrix. |
static int |
CORRELATION_MATRIX
Indicates correlation matrix. |
static int |
STDEV_CORRELATION_MATRIX
Indicates correlation matrix except for the diagonal elements which are the standard deviations |
static int |
VARIANCE_COVARIANCE_MATRIX
Indicates variance-covariance matrix. |
| Constructor Summary | |
|---|---|
Covariances(double[][] x)
Constructor for Covariances. |
|
| Method Summary | |
|---|---|
double[][] |
compute(int matrixType)
Computes the matrix. |
int[][] |
getIncidenceMatrix()
Returns the incidence matrix. |
double[] |
getMeans()
Returns the means of the variables in x. |
int |
getNumRowMissing()
Returns the total number of observations that contain any missing values ( Double.NaN). |
int |
getObservations()
Returns the sum of the frequencies. |
double |
getSumOfWeights()
Returns the sum of the weights of all observations. |
void |
setFrequencies(double[] frequencies)
Sets the frequency for each observation. |
void |
setMissingValueMethod(int missingValueMethod)
Sets the method used to exclude missing values in x from the computations,
where Double.NaN is interpreted as the missing value code. |
void |
setWeights(double[] weights)
Sets the weight for each observation. |
| Methods inherited from class java.lang.Object |
|---|
clone, equals, finalize, getClass, hashCode, notify, notifyAll, toString, wait, wait, wait |
| Field Detail |
|---|
public static final int CORRECTED_SSCP_MATRIX
public static final int CORRELATION_MATRIX
public static final int STDEV_CORRELATION_MATRIX
public static final int VARIANCE_COVARIANCE_MATRIX
| Constructor Detail |
|---|
public Covariances(double[][] x)
Covariances.
x - A double matrix containing the data.
IllegalArgumentException - is thrown if x.length,
and x[0].length are equal to 0.| Method Detail |
|---|
public final double[][] compute(int matrixType)
throws Covariances.NonnegativeFreqException,
Covariances.NonnegativeWeightException,
com.imsl.stat.Covariances.TooManyObsDeletedException,
com.imsl.stat.Covariances.MoreObsDelThanEnteredException,
com.imsl.stat.Covariances.DiffObsDeletedException
matrixType - An int scalar indicating the type of matrix
to compute. Uses class member
VARIANCE_COVARIANCE_MATRIX,
CORRECTED_SSCP_MATRIX, CORRELATION_MATRIX,
STDEV_CORRELATION_MATRIX for matrixType.
double matrix containing computed result.
Covariances.NonnegativeFreqException - is thrown if the frequencies
are negative.
Covariances.NonnegativeWeightException - is thrown if the
weights are negative.
com.imsl.stat.Covariances.TooManyObsDeletedException - is thrown if more observations
have been deleted than were originally entered, i.e. the sum
of frequencies has become negative.
com.imsl.stat.Covariances.MoreObsDelThanEnteredException - is thrown if more observations
are being deleted from "variance-covariance" matrix than
were originally entered. The corresponding row,column of
the incidence matrix is less than zero.
com.imsl.stat.Covariances.DiffObsDeletedException - is thrown if different observations
are being deleted than were originally entered.public int[][] getIncidenceMatrix()
compute method
must be invoked first before invoking this method. Otherwise, the
method throws a NullPointerException exception.
int matrix containing the incidence matrix.
If method is 0, incidence matrix is public double[] getMeans()
x. Note that the
compute method must be invoked first before invoking this
method. Otherwise, the method throws a NullPointerException
exception.
double array containing the means of the
variables in x. The components of the array
correspond to the columns of x.public int getNumRowMissing()
Double.NaN). Note that the compute method
must be invoked first before invoking this method. Otherwise, the
return value is 0.
int scalar containing the total number of
observations that contain any missing values
(Double.NaN).public int getObservations()
compute
method must be invoked first before invoking this method. Otherwise,
the return value is 0.
int scalar containing the sum of the frequencies.
If missingValueMethod = 0, observations with missing
values are not included; otherwise, all observations are
included except for observations with missing values for
the weight or the frequency.public double getSumOfWeights()
compute method must be invoked first before invoking this
method. Otherwise, the return value is 0.
double scalar containing the sum of the weights
of all observations. If missingValueMethod = 0,
observations with missing values are not included. Otherwise,
all observations are included except for observations with
missing values for the weight or the frequency.public void setFrequencies(double[] frequencies)
frequencies - A double array of size x.length
containing the frequency for each observation.
Default: frequencies[] = 1.public void setMissingValueMethod(int missingValueMethod)
x from the computations,
where Double.NaN is interpreted as the missing value code.
missingValueMethod - An int scalar indicating the method to use.
The methods are as follows:
missingValueMethod |
Action |
| 0 | The exclusion is listwise, default. (The entire row of x is excluded
if any of the values of the row is equal to the missing value code.) |
| 1 | Raw crossproducts are computed from all valid pairs and means, and variances are computed from all valid data on the individual variables. Corrected crossproducts, covariances, and correlations are computed using these quantities. |
| 2 | Raw crossproducts, means, and variances are computed as in
the case of method = 1. However, corrected crossproducts and covariances
are computed only from the valid pairs of data. Correlations are
computed using these covariances and the variances from all valid data. |
| 3 | Raw crossproducts, means, variances, and covariances are
computed as in the case of method = 2. Correlations are computed using
these covariances, but the variances used are computed from the valid
pairs of data. |
public void setWeights(double[] weights)
weights - A double array of size x.length
containing the weight for each observation.
Default: weights[] = 1.
|
JMSLTM Numerical Library 6.0 | |||||||
| PREV CLASS NEXT CLASS | FRAMES NO FRAMES | |||||||
| SUMMARY: NESTED | FIELD | CONSTR | METHOD | DETAIL: FIELD | CONSTR | METHOD | |||||||