JMSLTM Numerical Library 6.0

com.imsl.stat
Class DiscriminantAnalysis

java.lang.Object
  extended by com.imsl.stat.DiscriminantAnalysis

public class DiscriminantAnalysis
extends Object

Performs a linear or a quadratic discriminant function analysis among several known groups.

DiscriminantAnalysis allows linear or a quadratic discrimination and the use of either reclassification, split sample, or the leaving-out-one methods in order to evaluate the rule. One or more observations can be added to the rule during each invocation of the update method.

DiscriminantAnalysis results in the measure of distance between the groups,(see getMahalanobis method), a table summarizing the classification results, (see getClassTable), a matrix containing the posterior probabilities of group membership for each classified observation, (see getProbability), the within-sample means, (see getMeans) and covariance matrices computed from their LU factorizations, (see getCovariance). The linear discriminant function coefficients are also computed, (see getCoefficients method).

All observations can be input during one call to the update method; this has the advantage of simplicity. Alternatively, one or more rows of observations can be input during separate calls to update. This does not require all observations be memory resident, a significant advantage with large data sets. Note, however, to classify the same data set requires a second pass of the data to the classify method. During the first pass to the update method the discriminant functions are computed while in the second pass to the classify method the observations are classified. When known groups are available the method getClassTable is useful in comparing how well the alogorithm classifies. Multiple calls to the classify method are also allowed. The class table, getClassTable, is an accumulation of all observations classified. The class membership and probabilities, returned in getClassMembership and getProbabilities, will contain the membership for each observation from the most recent invocation of the classify method.

Pooled only and pooled with group covariance computation cannot be mixed. By default, both pooled and group covariance matrices will be computed. An IllegalStateException will be thrown if an attempt is made to change the covariance computation after the first call to the update method. See the setCovarianceComputation method for more details on specifying the covariance computation.

The within-group means are updated for all valid observations in x. Observations with invalid group numbers are ignored, as are observations with missing values (Double.NaN). The LU factorization of the covariance matrices are updated by adding (or deleting) observations via Givens rotations. See the downdate method to delete observations.

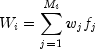
During the algorithm's training process, or each invocation of the update method, each observation in x is added to the means and the factorizations of the covariance matrices. Statistics of interest are computed: the linear discriminant functions, the prior probabilities, the log of the determinant of each of the covariance matrices, and a test statistic for testing that all of the within-group covariance matrices are equal. The matrix of Mahalanobis distances, which consists of the distances between the groups, is computed via the pooled covariance matrix when linear discrimination is specified. The row covariance matrix is used when the discrimination is quadratic. Covariance matrices are defined as follows. Let N_i denote the sum of the frequencies of the observations in group i, and let M_i denote the number of observations in group i. Then, if S_i denotes the within-group i covariance matrix,

S_i = frac{1}{N_i - 1} sum_{j=1}^{M_i} w_j f_j (x_j - overline{x})(x_j - overline{x})^T

where w_j is the weight of the j-th observation in group i, f_j is its frequency, x_j is the j-th observation column vector (in group i), and overline{x} denotes the mean vector of the observations in group i. The mean vectors are computed as

overline{x} = frac{1}{W_i} sum_{j=1}^{M_i} w_j f_j x_j

where

W_i = sum_{j=1}^{M_i} w_j f_j

Given the means and the covariance matrices, the linear discriminant function for group i is computed as:

z_i = ln(p_i)-0.5overline{x_i}^T S_{p}^{-1} overline{x_i} + x^T S_{p}^{-1} overline{x_i}

where ln(p_i) is the natural log of the prior probability for the i-th group, x is the observation to be classified, and S_p denotes the pooled covariance matrix.

Let S denote either the pooled covariance matrix or one of the within-group covariance matrices S_i. (S will be the pooled covariance matrix in linear discrimination, and S_i otherwise.) The Mahalanobis distance between group i and group j is computed as:

D_{ij}^{2} = (overline{x_i} - overline{x_j})^T S^{-1} (overline{x_i} - overline{x_j})

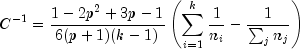
Finally, the asymptotic chi-squared test for the equality of covariance matrices is computed as follows (Morrison 1976, page 252):

gamma = C^{-1} sum_{i=1}^{k} n_i { ln( left| S_p right| ) - ln( left| S_i right| ) }

where n_i is the number of degrees of freedom in the i-th sample covariance matrix, k is the number of groups, and

C^{-1} = frac{1-2p^2 + 3p - 1}{6(p + 1)(k - 1)} left(sum_{i=1}^{k} frac{1}{n_i} - frac{1}{sum_{j}n_j} right)

where p is the number of variables.

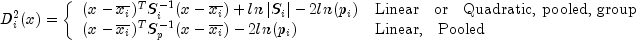
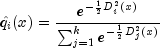
The estimated posterior probability of each observation x belonging to group i is computed using the prior probabilities and the sample mean vectors and estimated covariance matrices under a multivariate normal assumption. Under quadratic discrimination, the within-group covariance matrices are used to compute the estimated posterior probabilities. The estimated posterior probability of an observation x belonging to group i is

hat{q_i}(x) = frac{e^{-frac{1}{2}D_{i}^{2}(x)}}{sum_{j=1}^{k} e^{-frac{1}{2}D_{j}^{2}(x)}}

where

D_{i}^{2}(x) = left{ begin{array}{ll}
       (x - overline{x_i})^T S_{i}^{-1} (x - overline{x_i}) + ln left|S_i right| - 2 ln(p_i) & mbox{Linear ; or ; Quadratic, pooled, group}  \
       (x - overline{x_i})^T S_{p}^{-1} (x - overline{x_i}) - 2 ln(p_i) & mbox{Linear, ; Pooled} end{array} right.

For the leaving-out-one method of classification, the sample mean vector and sample covariance matrices in the formula for

D_{i}^{2}(x)

are adjusted so as to remove the observation x from their computation. For linear discrimination, the linear discriminant function coefficients are actually used to compute the same posterior probabilities.

Using the posterior probabilities, each observation in x is classified into a group; the result is tabulated in the matrix returned by getClassTable and saved in the vector returned by getClassMembership. If a group variable is provided and the group number is out of range, the classification table is not altered at this stage. If the reclassification method is specified, then all observations with no missing values are classified. When the leaving-out-one method is used, observations with invalid group numbers, weights, frequencies or classification variables are not classified. Regardless of the frequency, a 1 is added (or subtracted) from the classification table for each row of x that is classified and contains a valid group number. When the leaving-out-one method is used, adjustment is made to the posterior probabilities to remove the effect of the observation in the classification rule. In this adjustment, each observation is presumed to have a weight of w_j and a frequency of 1.0. See Lachenbruch (1975, page 36) for the required adjustment.

See Also:
Discriminant Analysis Example

Nested Class Summary
static class DiscriminantAnalysis.CovarianceSingularException
          The variance-covariance matrix is singular.
static class DiscriminantAnalysis.EmptyGroupException
          There are no observations in a group.
static class DiscriminantAnalysis.SumOfWeightsNegException
          The sum of the weights have become negative.
 
Field Summary
static int LEAVE_OUT_ONE
          Indicates leave-out-one classification method.
static int LINEAR
          Indicates a linear discrimination method.
static int POOLED
          Indicates pooled covariances computation.
static int POOLED_GROUP
          Indicates pooled, group covariances computation.
static int PRIOR_EQUAL
          Indicates prior equal probabilities.
static int PRIOR_PROPORTIONAL
          Indicates prior proportional probabilities.
static int QUADRATIC
          Indicates a quadratic discrimination method.
static int RECLASSIFICATION
          Indicates reclassification classification method.
 
Constructor Summary
DiscriminantAnalysis(int nVariables, int nGroups)
          Constructs a DiscriminantAnalysis.
 
Method Summary
 void classify(double[][] x)
          Classify a set of observations using the linear or quadratic discriminant functions generated during the training process.
 void classify(double[][] x, int[] varIndex)
          Classify a set of observations using the linear or quadratic discriminant functions generated during the training process.
 void classify(double[][] x, int[] frequencies, double[] weights)
          Classify a set of observations and associated frequencies and weights using the linear or quadratic discriminant functions generated during the training process.
 void classify(double[][] x, int[] group, int[] varIndex)
          Classify a set of observations and compare against known groups using the linear or quadratic discriminant functions generated during the training process.
 void classify(double[][] x, int[] varIndex, int[] frequencies, double[] weights)
          Classify a set of observations and associated frequencies and weights using the linear or quadratic discriminant functions generated during the training process.
 void classify(double[][] x, int[] group, int[] varIndex, int[] frequencies, double[] weights)
          Classify a set of observations, associated frequencies and weights, and compare against known groups using the linear or quadratic discriminant functions generated during the training process.
 void downdate(double[][] x, int[] group)
          Removes a set of observations from the discriminant functions.
 void downdate(double[][] x, int[] group, int[] varIndex)
          Removes a set of observations from the discriminant functions.
 void downdate(double[][] x, int[] group, int[] frequencies, double[] weights)
          Removes a set of observations and associated frequencies and weights from the discriminant functions.
 void downdate(double[][] x, int[] group, int[] varIndex, int[] frequencies, double[] weights)
          Removes a set of observations and associated frequencies and weights from the discriminant functions.
 int[] getClassMembership()
          Returns the group number to which the observation was classified.
 double[][] getClassTable()
          Returns the classification table.
 double[][] getCoefficients()
          Returns the linear discriminant function coefficients.
 double[][][] getCovariance()
          Returns the array of covariances.
 int[] getGroupCounts()
          Returns the group counts.
 double[][] getMahalanobis()
          Returns the Mahalanobis distances between the group means.
 double[][] getMeans()
          Returns the variable means.
 int getNumberOfRowsMissing()
          Returns the number of rows of data encountered containing missing values (Double.NaN).
 double[] getPrior()
          Returns the prior probabilities.
 double[][] getProbability()
          Returns the posterior probabilities for each observation.
 double[] getStatistics()
          Returns statistics.
 void setClassificationMethod(int method)
          Specifies the classification method to be either reclassification or leave-out-one.
 void setCovarianceComputation(int type)
          Specifies the covariance matrix computation to be either pooled or pooled, group.
 void setDiscriminationMethod(int method)
          Specifies the discrimination method used to be either linear or quadratic discrimination.
 void setPrior(double[] prior)
          Specifies user supplied prior probabilities.
 void setPrior(int prior)
          Specifies the prior probabilities to be calculated as either equal or proportional priors.
 void update(double[][] x, int[] group)
          Trains a set of observations and associated frequencies and weights by performing a linear or quadratic discriminant function analysis among several known groups.
 void update(double[][] x, int[] group, int[] varIndex)
          Trains a set of observations and associated frequencies and weights by performing a linear or quadratic discriminant function analysis among several known groups.
 void update(double[][] x, int[] group, int[] frequencies, double[] weights)
          Trains a set of observations and associated frequencies and weights by performing a linear or quadratic discriminant function analysis among several known groups.
 void update(double[][] x, int[] group, int[] varIndex, int[] frequencies, double[] weights)
          Trains a set of observations and associated frequencies and weights by performing a linear or quadratic discriminant function analysis among several known groups.
 
Methods inherited from class java.lang.Object
clone, equals, finalize, getClass, hashCode, notify, notifyAll, toString, wait, wait, wait
 

Field Detail

LEAVE_OUT_ONE

public static final int LEAVE_OUT_ONE
Indicates leave-out-one classification method.

See Also:
Constant Field Values

LINEAR

public static final int LINEAR
Indicates a linear discrimination method.

See Also:
Constant Field Values

POOLED

public static final int POOLED
Indicates pooled covariances computation.

See Also:
Constant Field Values

POOLED_GROUP

public static final int POOLED_GROUP
Indicates pooled, group covariances computation.

See Also:
Constant Field Values

PRIOR_EQUAL

public static final int PRIOR_EQUAL
Indicates prior equal probabilities.

See Also:
Constant Field Values

PRIOR_PROPORTIONAL

public static final int PRIOR_PROPORTIONAL
Indicates prior proportional probabilities.

See Also:
Constant Field Values

QUADRATIC

public static final int QUADRATIC
Indicates a quadratic discrimination method.

See Also:
Constant Field Values

RECLASSIFICATION

public static final int RECLASSIFICATION
Indicates reclassification classification method.

See Also:
Constant Field Values
Constructor Detail

DiscriminantAnalysis

public DiscriminantAnalysis(int nVariables,
                            int nGroups)
Constructs a DiscriminantAnalysis.

Parameters:
nVariables - an int representing the number of variables to be used in the discrimination
nGroups - an int representing the number of groups in the data
Method Detail

classify

public void classify(double[][] x)
              throws DiscriminantAnalysis.SumOfWeightsNegException,
                     DiscriminantAnalysis.EmptyGroupException,
                     DiscriminantAnalysis.CovarianceSingularException
Classify a set of observations using the linear or quadratic discriminant functions generated during the training process.

Parameters:
x - a double matrix containing the observations with at least nVariables columns. The first nVariables columns correspond to the variables. Reclassification does not require group numbers be present. Any additional columns will be ignored.
Throws:
IllegalStateException - is thrown if the leave-out-one classification method is chosen.
DiscriminantAnalysis.SumOfWeightsNegException - is thrown when the sum of the weights have become negative.
DiscriminantAnalysis.EmptyGroupException - is thrown when there are no observations in a group.
DiscriminantAnalysis.CovarianceSingularException - is thrown when the variance-covariance matrix is singular.

classify

public void classify(double[][] x,
                     int[] varIndex)
              throws DiscriminantAnalysis.SumOfWeightsNegException,
                     DiscriminantAnalysis.EmptyGroupException,
                     DiscriminantAnalysis.CovarianceSingularException
Classify a set of observations using the linear or quadratic discriminant functions generated during the training process.

Parameters:
x - a double matrix containing the observations with at least nVariables columns. The columns indicated in varIndex correspond to the variables. Reclassification does not require group numbers be present. Additional columns will be ignored.
varIndex - an int array containing the column indices in x that correspond to the variables to be used in the analysis
Throws:
IllegalStateException - is thrown if the leave-out-one classification method is chosen.
DiscriminantAnalysis.SumOfWeightsNegException - is thrown when the sum of the weights have become negative.
DiscriminantAnalysis.EmptyGroupException - is thrown when there are no observations in a group.
DiscriminantAnalysis.CovarianceSingularException - is thrown when the variance-covariance matrix is singular.

classify

public void classify(double[][] x,
                     int[] frequencies,
                     double[] weights)
              throws DiscriminantAnalysis.SumOfWeightsNegException,
                     DiscriminantAnalysis.EmptyGroupException,
                     DiscriminantAnalysis.CovarianceSingularException
Classify a set of observations and associated frequencies and weights using the linear or quadratic discriminant functions generated during the training process.

Parameters:
x - a double matrix containing the observations with at least nVariables columns. The first nVariables columns correspond to the variables. Reclassification does not require group numbers be present. Any additional columns will be ignored.
frequencies - an int array containing the associated frequencies for each observation
weights - a double array containing the associated weights for each observation
Throws:
IllegalStateException - is thrown if the leave-out-one classification method is chosen
DiscriminantAnalysis.SumOfWeightsNegException - is thrown when the sum of the weights have become negative
DiscriminantAnalysis.EmptyGroupException - is thrown when there are no observations in a group
DiscriminantAnalysis.CovarianceSingularException - is thrown when the variance-covariance matrix is singular

classify

public void classify(double[][] x,
                     int[] group,
                     int[] varIndex)
              throws DiscriminantAnalysis.SumOfWeightsNegException,
                     DiscriminantAnalysis.EmptyGroupException,
                     DiscriminantAnalysis.CovarianceSingularException
Classify a set of observations and compare against known groups using the linear or quadratic discriminant functions generated during the training process.

Parameters:
x - a double matrix containing the observations with at least nVariables columns. The columns indicated in varIndex correspond to the variables. Any additional columns will be ignored.
group - an int array containing the group numbers. The groups must be numbered 1,2, ..., nGroups for each observation.
varIndex - an int array containing the column indices in x that correspond to the variables to be used in the analysis
Throws:
DiscriminantAnalysis.SumOfWeightsNegException - is thrown when the sum of the weights have become negative
DiscriminantAnalysis.EmptyGroupException - is thrown when there are no observations in a group
DiscriminantAnalysis.CovarianceSingularException - is thrown when the variance-covariance matrix is singular

classify

public void classify(double[][] x,
                     int[] varIndex,
                     int[] frequencies,
                     double[] weights)
              throws DiscriminantAnalysis.SumOfWeightsNegException,
                     DiscriminantAnalysis.EmptyGroupException,
                     DiscriminantAnalysis.CovarianceSingularException
Classify a set of observations and associated frequencies and weights using the linear or quadratic discriminant functions generated during the training process.

Parameters:
x - a double matrix containing the observations with at least nVariables columns. The columns indicated in varIndex correspond to the variables. Reclassification does not require group numbers be present. Additional columns in x will be ignored.
varIndex - an int array containing the column indices in x that correspond to the variables to be used in the analysis
frequencies - an int array containing the associated frequencies for each observation
weights - a double array containing the associated weights for each observation
Throws:
IllegalStateException - is thrown if the leave-out-one classification method is chosen
DiscriminantAnalysis.SumOfWeightsNegException - is thrown when the sum of the weights have become negative
DiscriminantAnalysis.EmptyGroupException - is thrown when there are no observations in a group
DiscriminantAnalysis.CovarianceSingularException - is thrown when the variance-covariance matrix is singular

classify

public void classify(double[][] x,
                     int[] group,
                     int[] varIndex,
                     int[] frequencies,
                     double[] weights)
              throws DiscriminantAnalysis.SumOfWeightsNegException,
                     DiscriminantAnalysis.EmptyGroupException,
                     DiscriminantAnalysis.CovarianceSingularException
Classify a set of observations, associated frequencies and weights, and compare against known groups using the linear or quadratic discriminant functions generated during the training process.

Parameters:
x - a double matrix containing the observations with at least nVariables columns. The columns indicated in varIndex correspond to the variables. Additional columns are ignored.
group - an int array containing the group numbers. The groups must be numbered 1,2, ..., nGroups for each observation.
varIndex - an int array containing the column indices in x that correspond to the variables to be used in the analysis
frequencies - an int array containing the associated frequencies for each observation
weights - a double array containing the associated weights for each observation
Throws:
DiscriminantAnalysis.SumOfWeightsNegException - is thrown when the sum of the weights have become negative
DiscriminantAnalysis.EmptyGroupException
DiscriminantAnalysis.CovarianceSingularException

downdate

public void downdate(double[][] x,
                     int[] group)
              throws DiscriminantAnalysis.SumOfWeightsNegException
Removes a set of observations from the discriminant functions.

Parameters:
x - a double matrix containing the observations to be removed, with at least nVariables columns. The first nVariables columns correspond to the variables. Any additional columns will be ignored.
group - an int array containing the group numbers. The groups must be numbered 1,2, ..., nGroups for each observation.
Throws:
DiscriminantAnalysis.SumOfWeightsNegException - is thrown when the sum of the weights have become negative.

downdate

public void downdate(double[][] x,
                     int[] group,
                     int[] varIndex)
              throws DiscriminantAnalysis.SumOfWeightsNegException
Removes a set of observations from the discriminant functions.

Parameters:
x - a double matrix containing the observations to be removed, with at least nVariables columns. The columns indicated in varIndex correspond to the variables.
group - an int array containing the group numbers. The groups must be numbered 1,2, ..., nGroups for each observation.
varIndex - an int array containing the column indices in x that correspond to the variables to be used in the analysis
Throws:
DiscriminantAnalysis.SumOfWeightsNegException - is thrown when the sum of the weights have become negative.

downdate

public void downdate(double[][] x,
                     int[] group,
                     int[] frequencies,
                     double[] weights)
              throws DiscriminantAnalysis.SumOfWeightsNegException
Removes a set of observations and associated frequencies and weights from the discriminant functions.

Parameters:
x - a double matrix containing the observations to be removed, with at least nVariables columns. The columns indicated in varIndex correspond to the variables.
group - an int array containing the group numbers. The groups must be numbered 1,2, ..., nGroups for each observation.
frequencies - an int array containing the associated frequencies for each observation
weights - a double array containing the associated weights for each observation
Throws:
DiscriminantAnalysis.SumOfWeightsNegException - is thrown when the sum of the weights have become negative.

downdate

public void downdate(double[][] x,
                     int[] group,
                     int[] varIndex,
                     int[] frequencies,
                     double[] weights)
              throws DiscriminantAnalysis.SumOfWeightsNegException
Removes a set of observations and associated frequencies and weights from the discriminant functions.

Parameters:
x - a double matrix containing the observations to be removed, with at least nVariables columns. The columns indicated in varIndex correspond to the variables.
group - an int array containing the group numbers. The groups must be numbered 1,2, ..., nGroups for each observation.
varIndex - an int array containing the column indices in x that correspond to the variables to be used in the analysis
frequencies - an int array containing the associated frequencies for each observation
weights - a double array containing the associated weights for each observation
Throws:
DiscriminantAnalysis.SumOfWeightsNegException - is thrown when the sum of the weights have become negative.

getClassMembership

public int[] getClassMembership()
Returns the group number to which the observation was classified.

Returns:
an int array containing the group to which the observation was classified. If an observation has an invalid group number, frequency, or weight when the leaving-out-one method has been specified, then the observation is not classified and the corresponding elements of the array are set to zero. Note this will return the classmembership of the last set of observations classified.
Throws:
IllegalStateException - is thrown if no data has been classified.

getClassTable

public double[][] getClassTable()
Returns the classification table.

Returns:
an nGroups by nGroups double matrix containing the classification table. The accumulation of each observation that is classified and has a group number equal to 1, 2, ..., nGroups is entered into the table. If a known group is provided, the rows of the table correspond to the known group membership. The columns refer to the group to which the observation was classified. If a known group is not provided, the table will only contain the accumulated classified groups in the column coresponding to the group to which the observation was classified.
Throws:
IllegalStateException - is thrown if no data has been classified.

getCoefficients

public double[][] getCoefficients()
                           throws DiscriminantAnalysis.EmptyGroupException,
                                  DiscriminantAnalysis.CovarianceSingularException
Returns the linear discriminant function coefficients.

Returns:
an nGroups by nVariables double matrix containing the linear discriminant function coefficients. The first column of the matrix contains the constant term, and the remaining columns contain the variable coefficients. The i-th row of the returned matrix corresponds to group i. The coefficients are always computed as linear discriminant function coefficients even when quadratic discrimination is specified.
Throws:
DiscriminantAnalysis.EmptyGroupException - is thrown when there are no observations in a group.
DiscriminantAnalysis.CovarianceSingularException - is thrown when the variance-covariance matrix is singular.

getCovariance

public double[][][] getCovariance()
                           throws DiscriminantAnalysis.EmptyGroupException,
                                  DiscriminantAnalysis.CovarianceSingularException
Returns the array of covariances.

Returns:
a g by nVariables by nVariables   double array containing the covariances. Where, g = nGroups+1 if pooled, group covariance computation is specified or g=1 if pooled covariance computation is specified. When pooled only covariance matrices are computed, the within-group covariance matrices are not computed. The pooled covariance matrix is always computed and is returned as the g-th covariance matrix.

If this method is invoked before classification, the unscaled covariance matrix will be returned.

Throws:
DiscriminantAnalysis.EmptyGroupException - is thrown when there are no observations in a group.
DiscriminantAnalysis.CovarianceSingularException - is thrown when the variance-covariance matrix is singular.

getGroupCounts

public int[] getGroupCounts()
Returns the group counts.

Returns:
an int array of length nGroups containing the number of observations in each group. If an update has not preceeded the invocation of this method, an array of all zeros will be returned.

getMahalanobis

public double[][] getMahalanobis()
                          throws DiscriminantAnalysis.EmptyGroupException,
                                 DiscriminantAnalysis.CovarianceSingularException
Returns the Mahalanobis distances between the group means.

Returns:
an nGroups by nGroups   double matrix containing the Mahalanobis distances between the group means. For linear discrimination, the Mahalanobis distance

D_{ij}^2(x)

between group means i and j is computed using the within covariance matrix for group i in place of the pooled covariance matrix.
Throws:
DiscriminantAnalysis.EmptyGroupException - is thrown when there are no observations in a group.
DiscriminantAnalysis.CovarianceSingularException - is thrown when the variance-covariance matrix is singular.

getMeans

public double[][] getMeans()
                    throws DiscriminantAnalysis.EmptyGroupException,
                           DiscriminantAnalysis.CovarianceSingularException
Returns the variable means.

Returns:
an nGroups by nVariables double matrix containing the variable means. The i-th row contains the variable means for group i.

If this method is invoked before classification, the unscaled means will be returned.

Throws:
DiscriminantAnalysis.EmptyGroupException - is thrown when there are no observations in a group.
DiscriminantAnalysis.CovarianceSingularException - is thrown when the variance-covariance matrix is singular.

getNumberOfRowsMissing

public int getNumberOfRowsMissing()
Returns the number of rows of data encountered containing missing values (Double.NaN).

Returns:
an int representing the number of rows of data encountered containing missing values (Double.NaN) for the classification, group, weight, and/or frequency variables. If a row of data contains a missing value (Double.NaN) for any of these variables, that row is excluded from the computations.

getPrior

public double[] getPrior()
Returns the prior probabilities.

Returns:
a double array of length nGroups containing the prior probabilities for each group.

getProbability

public double[][] getProbability()
Returns the posterior probabilities for each observation.

Returns:
an x.length by nGroups   double matrix containing the posterior probabilities for each observation. Note this will return the probabilities of the last set of observations classified.
Throws:
IllegalStateException - is thrown if no data has been classified.

getStatistics

public double[] getStatistics()
                       throws DiscriminantAnalysis.EmptyGroupException,
                              DiscriminantAnalysis.CovarianceSingularException
Returns statistics.

Returns:
a double array containing output statistics.
index Description
0 Sum of the degrees of freedom for the within-covariance matrices.
1 Chi-squared statistic.
2 The degrees of freedom in the chi-squared statistic.
3 Probability of a greater chi-squared, respectively, of a test of the homogeneity of the within-covariance matrices. (Not computed when the pooled only covariance matrix is computed).
4 thru (4+nGroups) Log of the determinant of each group's covariance matrix (not computed when the pooled only covariance matrix is computed) and of the pooled covariance matrix.
Last (nGroups + 1) elements Sum of the weights within each group.
Last element Sum of the weights in all groups.
Throws:
DiscriminantAnalysis.EmptyGroupException - is thrown when there are no observations in a group.
DiscriminantAnalysis.CovarianceSingularException - is thrown when the variance-covariance matrix is singular.

setClassificationMethod

public void setClassificationMethod(int method)
Specifies the classification method to be either reclassification or leave-out-one.

Parameters:
method - an int indicating the method of classification. Use class member RECLASSIFICATION or LEAVE_OUT_ONE. By default, the RECLASSIFICATION method is used.

setCovarianceComputation

public void setCovarianceComputation(int type)
Specifies the covariance matrix computation to be either pooled or pooled, group.

Parameters:
type - an int scalar indicating the type of covariance matrices to be computed. Use class member POOLED or POOLED_GROUP. By default, POOLED_GROUP is used.

setDiscriminationMethod

public void setDiscriminationMethod(int method)
Specifies the discrimination method used to be either linear or quadratic discrimination.

Parameters:
method - an int scalar indicating the method of discrimination. Use class member LINEAR or QUADRATIC. By default, the LINEAR method is used.

setPrior

public void setPrior(double[] prior)
Specifies user supplied prior probabilities.

Parameters:
prior - a double vector of length nGroups containing the prior probabilities for each group. The elements of prior should sum to 1.0. If the values of prior are less than 1.0e-20, they will be converted to the Math.log(1.0e-20). By default, the prior probablities are calculated to be equal, see setPrior(int).

setPrior

public void setPrior(int prior)
Specifies the prior probabilities to be calculated as either equal or proportional priors.

Parameters:
prior - an int specifying how to calculate prior probabilities as either equal or proportional prior probabilities. Use class member PRIOR_EQUAL to set equal prior probabilities, calculated as 1.0/nGroups. Use class member PRIOR_PROPORTIONAL to calculate the priors to be proportional to the sample size in each group. The sum of all prior probabilities is equal to 1.0. If the values calculated for the priors are less than 1.0e-20, they will be converted to the Math.log(1.0e-20). Prior probabilities are used in calculating statistics, coefficients, Mahalanobis, and classification probabilities. By default, PRIOR_EQUAL is used.

update

public void update(double[][] x,
                   int[] group)
            throws DiscriminantAnalysis.SumOfWeightsNegException
Trains a set of observations and associated frequencies and weights by performing a linear or quadratic discriminant function analysis among several known groups.

Parameters:
x - a double matrix containing the observations with at least nVariables columns. The first nVariables correspond to the variables. Any additional columns will be ignored.
group - an int array containing the group numbers. The groups must be numbered
1,2, ..., nGroups for each observation.
Throws:
DiscriminantAnalysis.SumOfWeightsNegException - is thrown when the sum of the weights have become negative.

update

public void update(double[][] x,
                   int[] group,
                   int[] varIndex)
            throws DiscriminantAnalysis.SumOfWeightsNegException
Trains a set of observations and associated frequencies and weights by performing a linear or quadratic discriminant function analysis among several known groups.

Parameters:
x - a double matrix containing the observations with at least nVariables columns. The columns indicated in varIndex correspond to the variables. Any additional columns will be ignored.
group - an int array containing the group numbers. The groups must be numbered
1,2, ..., nGroups for each observation.
varIndex - an int array containing the column indices in x that correspond to the variables to be used in the analysis
Throws:
DiscriminantAnalysis.SumOfWeightsNegException - is thrown when the sum of the weights have become negative.

update

public void update(double[][] x,
                   int[] group,
                   int[] frequencies,
                   double[] weights)
            throws DiscriminantAnalysis.SumOfWeightsNegException
Trains a set of observations and associated frequencies and weights by performing a linear or quadratic discriminant function analysis among several known groups.

Parameters:
x - a double matrix containing the observations with at least nVariables columns. The first nVariables correspond to the variables. Any additional columns will be ignored.
group - an int array containing the group numbers. The groups must be numbered
1,2, ..., nGroups for each observation.
frequencies - an int array containing the associated frequencies for each observation
weights - a double array containing the associated weights for each observation
Throws:
DiscriminantAnalysis.SumOfWeightsNegException - is thrown when the sum of the weights have become negative.

update

public void update(double[][] x,
                   int[] group,
                   int[] varIndex,
                   int[] frequencies,
                   double[] weights)
            throws DiscriminantAnalysis.SumOfWeightsNegException
Trains a set of observations and associated frequencies and weights by performing a linear or quadratic discriminant function analysis among several known groups.

Parameters:
x - a double matrix containing the observations with at least nVariables columns. The columns indicated in varIndex correspond to the variables.
group - an int array containing the group numbers. The groups must be numbered
1,2, ..., nGroups for each observation.
varIndex - an int array containing the column indices in x that correspond to the variables to be used in the analysis
frequencies - an int array containing the associated frequencies for each observation
weights - a double array containing the associated weights for each observation
Throws:
DiscriminantAnalysis.SumOfWeightsNegException - is thrown when the sum of the weights have become negative.

JMSLTM Numerical Library 6.0

Copyright © 1970-2009 Visual Numerics, Inc.
Built September 1 2009.