JMSLTM Numerical Library 6.0

com.imsl.stat
Class KaplanMeierEstimates

java.lang.Object
  extended by com.imsl.stat.KaplanMeierEstimates
All Implemented Interfaces:
Serializable, Cloneable

public class KaplanMeierEstimates
extends Object
implements Serializable, Cloneable

Computes Kaplan-Meier (or product-limit) estimates of survival probabilities for a sample of failure times that possibly contain right consoring.

Class KaplanMeierEstimates computes Kaplan-Meier (or product-limit) estimates of survival probabilities for a sample of failure times that can be right censored or exact times. A survival probability S(t) is defined as 1 - F(t), where F(t) is the cumulative distribution function of the failure times t. Greenwood's estimate of the standard errors of the survival probability estimates are also computed. (See Kalbfleisch and Prentice, 1980, pages 13 and 14.)

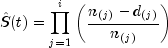
Let (t_i, delta_i), for i = 1,..., n denote the failure censoring times and the censoring codes for the n observations in a single sample. Here, t_i = x_{i-l, responseIndex} is a failure time if delta_i is 0, where delta_i = x_{i-l, censorIndex}. Also, t_i is a right censoring time if delta_i is 1. Rows in x containing values other than 0 or 1 for delta_i are ignored. Let the number of observations in the sample that have not failed by time s_{(t)} be denoted by n_{(t)}, where s_{(t)} is an ordered (from smallest to largest) listing of the distinct failure times (censoring times are omitted). Then the Kaplan-Meier estimate of the survival probabilities is a step function, which in the interval from s_{(i)} to s_{(i+1)} (including the lower endpoint) is given by

hat{S}(t)=prod_{j=1}^{i}left ( frac{n_{(j)}-d_{(j)}}{n_{(j)}} right )

where d_{(j)} denotes the number of failures occurring at time s_{(j)}, and n_{(j)} is the number of observations that have not failed prior to s_{(j)}.

Note that one row of x may correspond to more than one failed (or censored) observation when the frequency option is in effect (see setFrequencyColumn). The Kaplan-Meier estimate of the survival probability prior to time s_{(1)} is 1.0, while the Kaplan-Meier estimate of the survival probability after the last failure time is not defined.

Greenwood's estimate of the variance of

hat{S}(t)

in the interval from s_{(i)} to s_{(i+1)} is given as

textup{est.var}(hat{S}(t))=hat{S}^2(t)sum_{j=1}^{i}frac{d_{(j)}}{n_{(j)}(n_{(j)}-d_{(j)})}

KaplanMeierEstimates computes the single sample estimates of the survival probabilities for all samples of data included in x during a single call. This is accomplished through the stratum column of x, which if present, must contain a distinct code for each sample of observations (see setStratumColumn). If a stratum column is not specified, there is no grouping , and all observations are assumed to come from the same sample.

When failures and right-censored observations are tied and the data are to be sorted by KaplanMeierEstimates (setSorted(true) is not used), KaplanMeierEstimates assumes that the time of censoring for the tied-censored observations is immediately after the tied failure (within the same sample). When setSorted(true) is used, the data are assumed to be sorted from smallest to largest according to the response time column of x within each stratum (see setResponseColumn). Furthermore, a small increment of time is assumed (theoretically) to elapse between the failed and censored observations that are tied (in the same sample). Thus, when setSorted(true) is used, the user must sort all of the data in x from smallest to largest according to the response time column (and the stratum column, if set). By appropriate sorting of the observations, the user can handle censored and failed observations that are tied in any manner desired.

See Also:
Example , Serialized Form

Constructor Summary
KaplanMeierEstimates(double[][] x)
          Constructor for KaplanMeierEstimates.
 
Method Summary
 int getCensorColumn()
          Returns the column index of x containing the optional censoring code for each observation.
 int getFrequencyColumn()
          Returns the column index of x containing the frequency of response for each observation.
 int getGroupTotal(double groupValue)
          Returns the total number in the group for the specified group value.
 double getLogLikelihood(double groupValue)
          Returns the Kaplan-Meier log-likelihood of the group with the specified group value.
 int[] getNumberAtRisk()
          Returns the number of individuals at risk at each failure point.
 int[] getNumberOfFailures()
          Returns the number of failures which occurred at each failure point.
 int getNumberOfRowsMissing()
          Returns the number of rows of data in x that contain missing values in one or more specific columns of x.
 int getResponseColumn()
          Returns the column index of x containing the response time for each observation.
 double[] getStandardErrors()
          Returns Greenwood's estimated standard errors.
 int getStratumColumn()
          Returns the column index of x containing the stratum number for each observation.
 double[] getSurvivalProbabilities()
          Returns the estimated survival probabilities.
 int getTotalNumberOfFailures(double groupValue)
          Returns the total number failing in the group for the specified group value.
 void setCensorColumn(int censorIndex)
          Sets the column index of x containing the optional censoring code for each observation.
 void setFrequencyColumn(int frequencyIndex)
          Sets the column index of x containing the frequency of response for each observation.
 void setResponseColumn(int responseIndex)
          Sets the column index of x containing the response time for each observation.
 void setSorted(boolean isSorted)
          Sets the boolean to indicate that the column of response times in x are already sorted.
 void setStratumColumn(int stratumIndex)
          Sets the column index of x containing the stratum number for each observation.
 
Methods inherited from class java.lang.Object
clone, equals, finalize, getClass, hashCode, notify, notifyAll, toString, wait, wait, wait
 

Constructor Detail

KaplanMeierEstimates

public KaplanMeierEstimates(double[][] x)
Constructor for KaplanMeierEstimates.

Parameters:
x - a double matrix containing the data, including optional data. By default it is assumed the response times are in column 0.
Method Detail

getCensorColumn

public int getCensorColumn()
Returns the column index of x containing the optional censoring code for each observation.

Returns:
an int specifying the column index of x containing the optional censoring code for each observation.

getFrequencyColumn

public int getFrequencyColumn()
Returns the column index of x containing the frequency of response for each observation.

Returns:
an int specifying the column index of x containing the frequency of response for each observation.

getGroupTotal

public int getGroupTotal(double groupValue)
Returns the total number in the group for the specified group value.

Parameters:
groupValue - a double specifying the group value.
Returns:
an int representing the total number in the group which has value groupValue.

getLogLikelihood

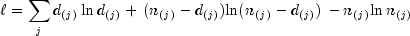
public double getLogLikelihood(double groupValue)
Returns the Kaplan-Meier log-likelihood of the group with the specified group value.

The Kaplan-Meier log-likelihood is computed as:

ell  = sumlimits_j {d_{(j)} ,{text{ln}},d_{(j)}  + ,(n_{(j)}  - d_{(j)} ){text{ln(}}n_{(j)}  - d_{(j)} ), - n_{(j)} {text{ln}},n_{(j)} }

where the sum is with respect to the distinct failure times s_{(j)}.

Parameters:
groupValue - a double specifying the group value.
Returns:
a double representing the Kaplan-Meier log-likelihood of the group which has value groupValue.

getNumberAtRisk

public int[] getNumberAtRisk()
Returns the number of individuals at risk at each failure point.

Returns:
an int array containing the number of individuals at risk at each failure point.

getNumberOfFailures

public int[] getNumberOfFailures()
Returns the number of failures which occurred at each failure point.

Returns:
an int array containing the number of failures which occurred at each failure point.

getNumberOfRowsMissing

public int getNumberOfRowsMissing()
Returns the number of rows of data in x that contain missing values in one or more specific columns of x.

Returns:
an int scalar representing the number of rows of data in x that contain missing values in one or more specific columns of x.

getResponseColumn

public int getResponseColumn()
Returns the column index of x containing the response time for each observation.

Returns:
an int specifying the column index of x containing the response time for each observation.

getStandardErrors

public double[] getStandardErrors()
Returns Greenwood's estimated standard errors.

Returns:
a double array containing Greenwood's estimate of the standard errors for the survival probabilities.

getStratumColumn

public int getStratumColumn()
Returns the column index of x containing the stratum number for each observation.

Returns:
an int specifying the column index of x containing the stratum number for each observation.

getSurvivalProbabilities

public double[] getSurvivalProbabilities()
Returns the estimated survival probabilities.

Returns:
a double array containing the estimated survival probabilities.

getTotalNumberOfFailures

public int getTotalNumberOfFailures(double groupValue)
Returns the total number failing in the group for the specified group value.

Parameters:
groupValue - a double specifying the group value.
Returns:
an int representing the total number failing in the group which has value groupValue.

setCensorColumn

public void setCensorColumn(int censorIndex)
Sets the column index of x containing the optional censoring code for each observation.

Parameters:
censorIndex - an int specifying the column index of x containing the optional censoring code for each observation. If x[i][censorIndex] equals 0, the failure time x[i][responseIndex] is treated as an exact time of failure. Otherwise, it is treated as right-censored time. Default: It is assumed that there is no censor code column in x. All observations are assumed to be exact failure times.

setFrequencyColumn

public void setFrequencyColumn(int frequencyIndex)
Sets the column index of x containing the frequency of response for each observation.

Parameters:
frequencyIndex - an int specifying the column index of x containing the frequency of response for each observation. Default: It is assumed that there is no frequency response column recorded in x. Each observation in the data array is assumed to be for a single failure.

setResponseColumn

public void setResponseColumn(int responseIndex)
Sets the column index of x containing the response time for each observation.

Parameters:
responseIndex - an int specifying the column index of x containing the response time for each observation. The interpretation of these times as either right-consored or exact failure times depends on the setting of the censor codes in the censor code column. See method setCensorColumn. Default: responseIndex = 0.

setSorted

public void setSorted(boolean isSorted)
Sets the boolean to indicate that the column of response times in x are already sorted.

Parameters:
isSorted - a boolean indicating whether or not column responseIndex of x is already sorted. isSorted equal to true indicates that column responseIndex of x is already sorted. Otherwise, a detached sort is performed prior to analysis. If sorting is performed, all censored individuals are assumed to follow tied failures. Default: It is assumed that column responseIndex of x is not sorted, so a detached sort is performed.

setStratumColumn

public void setStratumColumn(int stratumIndex)
Sets the column index of x containing the stratum number for each observation.

Parameters:
stratumIndex - an int specifying the column index of x containing the stratum number for each observation. Column stratumIndex of x contains a unique value for each stratum in the data. Kaplan-Meier estimates are computed within each stratum. Default: It is assumed that there is no stratum number column recorded x. The data is assumed to come from one statum.

JMSLTM Numerical Library 6.0

Copyright © 1970-2009 Visual Numerics, Inc.
Built September 1 2009.