|
JMSLTM Numerical Library 6.0 | |||||||
| PREV CLASS NEXT CLASS | FRAMES NO FRAMES | |||||||
| SUMMARY: NESTED | FIELD | CONSTR | METHOD | DETAIL: FIELD | CONSTR | METHOD | |||||||
java.lang.Objectcom.imsl.stat.KolmogorovTwoSample
public class KolmogorovTwoSample
Performs a Kolmogorov-Smirnov two-sample test.
Class KolmogorovTwoSample computes Kolmogorov-Smirnov two-sample
test statistics for testing that two continuous cumulative distribution functions (CDF's)
are identical based upon two random samples. One- or two-sided alternatives are
allowed. Exact p-values are computed for the two-sided test when
,
where n is the number of non-missing X observations and
m the number of non-missing Y observation.
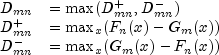
Let
denote the empirical CDF in the X sample,
let
denote the empirical CDF in the Y sample
and let the corresponding population
distribution functions be denoted by
and
, respectively.
Then, the hypotheses tested by KolmogorovTwoSample are as follows:


![]()
Exact probabilities for the two-sided test are computed when
, according to an algorithm given by
Kim and Jennrich (1973).
When
, the very good approximations
given by Kim and Jennrich are used to obtain the two-sided p-values.
The one-sided probability is taken as one half the two-sided probability.
This is a very good approximation when the p-value is small
(say, less than 0.10) and not very good for large p-values.
| Constructor Summary | |
|---|---|
KolmogorovTwoSample(double[] x,
double[] y)
Constructs a two sample Kolmogorov-Smirnov goodness-of-fit test. |
|
| Method Summary | |
|---|---|
double |
getMaximumDifference()
Returns |
double |
getMinimumDifference()
Returns |
int |
getNumberMissingX()
Returns the number of missing values in the x sample. |
int |
getNumberMissingY()
Returns the number of missing values in the y sample. |
double |
getOneSidedPValue()
Probability of the statistic exceeding D under the null hypothesis of equality and against the one-sided alternative. |
double |
getTestStatistic()
Returns |
double |
getTwoSidedPValue()
Probability of the statistic exceeding D under the null hypothesis of equality and against the two-sided alternative. |
double |
getZ()
Returns the normalized D statistic without the continuity correction applied. |
| Methods inherited from class java.lang.Object |
|---|
clone, equals, finalize, getClass, hashCode, notify, notifyAll, toString, wait, wait, wait |
| Constructor Detail |
|---|
public KolmogorovTwoSample(double[] x,
double[] y)
x - is an array containing the observations from the first sample.y - is an array containing the observations from the second sample.| Method Detail |
|---|
public double getMaximumDifference()
public double getMinimumDifference()
public int getNumberMissingX()
x sample.
x.public int getNumberMissingY()
y sample.
y.public double getOneSidedPValue()
public double getTestStatistic()
public double getTwoSidedPValue()
getOneSidedPValue,
(or 1.0 if
public double getZ()
|
JMSLTM Numerical Library 6.0 | |||||||
| PREV CLASS NEXT CLASS | FRAMES NO FRAMES | |||||||
| SUMMARY: NESTED | FIELD | CONSTR | METHOD | DETAIL: FIELD | CONSTR | METHOD | |||||||