JMSLTM Numerical Library 6.0

com.imsl.stat
Class LinearRegression

java.lang.Object
  extended by com.imsl.stat.LinearRegression
All Implemented Interfaces:
Serializable, Cloneable

public class LinearRegression
extends Object
implements Serializable, Cloneable

Fits a multiple linear regression model with or without an intercept. If the constructor argument hasIntercept is true, the multiple linear regression model is

y_i  = beta _0  + beta _1
 x_{i1}  + beta _2 x_{i2}  + , ldots  + beta _k x_{ik}+ varepsilon _i ,
 ,,,, i = 1,,2,, ldots ,,n

where the observed values of the y_i's constitute the responses or values of the dependent variable, the x_{i1}'s, x_{i2}'s, ldots, x_{ik}'s are the settings of the independent variables, beta_0,beta_1, ldots, beta_k are the regression coefficients, and the e_i's are independently distributed normal errors each with mean zero and variance sigma^2/w_i. If hasIntercept is false, beta_0 is not included in the model.

LinearRegression computes estimates of the regression coefficients by minimizing the sum of squares of the deviations of the observed response y_i from the fitted response

hat y_i

for the observations. This minimum sum of squares (the error sum of squares) is in the ANOVA output and denoted by

{rm SSE}=sumlimits_{i=1}^n w_i (y_i-hat y_i)^2

In addition, the total sum of squares is output in the ANOVA table. For the case, hasIntercept is true; the total sum of squares is the sum of squares of the deviations of y_i from its mean

bar y

--the so-called corrected total sum of squares; it is denoted by

{rm SST}=sumlimits_{i=1}^n w_i (y_i-bar y)^2

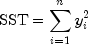
For the case hasIntercept is false, the total sum of squares is the sum of squares of y_i --the so-called uncorrected total sum of squares; it is denoted by

{rm SST}=sumlimits_{i=1}^n y_i^2

See Draper and Smith (1981) for a good general treatment of the multiple linear regression model, its analysis, and many examples.

In order to compute a least-squares solution, LinearRegression performs an orthogonal reduction of the matrix of regressors to upper triangular form. Givens rotations are used to reduce the matrix. This method has the advantage that the loss of accuracy resulting from forming the crossproduct matrix used in the normal equations is avoided, while not requiring the storage of the full matrix of regressors. The method is described by Lawson and Hanson, pages 207-212.

From a general linear model fitted using the w_i's as the weights, inner class LinearRegression.CaseStatistics can also compute predicted values, confidence intervals, and diagnostics for detecting outliers and cases that greatly influence the fitted regression. Let x_i be a column vector containing elements of the i-th row of X. Let W=
 diag(w_1, w_2, ..., w_n). The leverage is defined as

h_i=[x_i^T(X^TWX)^-x_i]w_i

(In the case of linear equality restrictions on beta, the leverage is defined in terms of the reduced model.) Put D=diag(d_1, d_2, ..., d_k) with d_j=1 if the j-th diagonal element of R is positive and 0 otherwise. The leverage is computed as h_i=(a^T Da)w_i where a is a solution to R^T a=x_i. The estimated variance of

hat{y_i}=x_i^T hat{beta}

is given by h_i s^2 /w_i, where s^2=SSE/DFE. The computation of the remainder of the case statistics follows easily from their definitions.

Let e_i denote the residual

y_i-hat{y_i}

for the ith case. The estimated variance of e_i is (1-h_i)s^2
 /w_i where s^2 is the residual mean square from the fitted regression. The ith standardized residual (also called the internally studentized residual) is by definition

r_i=e_isqrt{frac{{w_i}}{{s^2(1-h_i)}}}

and r_i follows an approximate standard normal distribution in large samples.

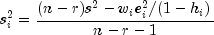
The ith jackknife residual or deleted residual involves the difference between y_i and its predicted value based on the data set in which the ith case is deleted. This difference equals e_i/(1-h_i). The jackknife residual is obtained by standardizing this difference. The residual mean square for the regression in which the ith case is deleted is

s_i^2={frac{{(
 n-r)s^2-w_ie_i^2/(1-h_i)}}{{n-r-1}}}

The jackknife residual is defined to be

t_i=e_i
 sqrt {frac{{w_i}}{{s_i^2(1-h_i)}}}

and t_i follows a t distribution with n-r-1 degrees of freedom.

Cook's distance for the ith case is a measure of how much an individual case affects the estimated regression coefficients. It is given by

D_i={frac{{w_i h_i e_i^2}}{{rs^2(1-h_i)
 ^2}}}

Weisberg (1985) states that if D_i exceeds the 50-th percentile of the F(r,n-r) distribution, it should be considered large. (This value is about 1. This statistic does not have an F distribution.)

DFFITS, like Cook's distance, is also a measure of influence. For the ith case, DFFITS is computed by the formula

DFFITS_i=e_isqrt{frac{{w_i h_i}}{{s_i^2(1-h_i)^2}}}

Hoaglin and Welsch (1978) suggest that DFFITS_i greater than

2sqrt{r/n}

is large.

Often predicted values and confidence intervals are desired for combinations of settings of the effect variables not used in computing the regression fit. This can be accomplished using a single data matrix by including these settings of the variables as part of the data matrix and by setting the response equal to Double.NaN. LinearRegression will omit the case when performing the fit and a predicted value and confidence interval for the missing response will be computed from the given settings of the effect variables.

See Also:
Example1, Example2, Serialized Form

Nested Class Summary
 class LinearRegression.CaseStatistics
          Inner Class CaseStatistics allows for the computation of predicted values, confidence intervals, and diagnostics for detecting outliers and cases that greatly influence the fitted regression.
 class LinearRegression.CoefficientTTests
          Contains statistics related to the regression coefficients.
 
Constructor Summary
LinearRegression(int nVariables, boolean hasIntercept)
          Constructs a new linear regression object.
 
Method Summary
 ANOVA getANOVA()
          Get an analysis of variance table and related statistics.
 LinearRegression.CaseStatistics getCaseStatistics(double[] x, double y)
          Returns the case statistics for an observation.
 LinearRegression.CaseStatistics getCaseStatistics(double[] x, double y, double w)
          Returns the case statistics for an observation and a weight.
 LinearRegression.CaseStatistics getCaseStatistics(double[] x, double y, double w, int pred)
          Returns the case statistics for an observation, weight, and future response count for the desired prediction interval.
 LinearRegression.CaseStatistics getCaseStatistics(double[] x, double y, int pred)
          Returns the case statistics for an observation and future response count for the desired prediction interval.
 double[] getCoefficients()
          Returns the regression coefficients.
 LinearRegression.CoefficientTTests getCoefficientTTests()
          Returns statistics relating to the regression coefficients.
 double[][] getR()
          Returns a copy of the R matrix.
 int getRank()
          Returns the rank of the matrix.
 void update(double[][] x, double[] y)
          Updates the regression object with a new set of observations.
 void update(double[][] x, double[] y, double[] w)
          Updates the regression object with a new set of observations and weights.
 void update(double[] x, double y)
          Updates the regression object with a new observation.
 void update(double[] x, double y, double w)
          Updates the regression object with a new observation and weight.
 
Methods inherited from class java.lang.Object
clone, equals, finalize, getClass, hashCode, notify, notifyAll, toString, wait, wait, wait
 

Constructor Detail

LinearRegression

public LinearRegression(int nVariables,
                        boolean hasIntercept)
Constructs a new linear regression object.

Parameters:
nVariables - int number of variables in the regression
hasIntercept - boolean which indicates whether or not an intercept is in this regression model
Method Detail

getANOVA

public ANOVA getANOVA()
Get an analysis of variance table and related statistics.

Returns:
an ANOVA table and related statistics

getCaseStatistics

public LinearRegression.CaseStatistics getCaseStatistics(double[] x,
                                                         double y)
Returns the case statistics for an observation.

Parameters:
x - a double array containing the independent (explanatory) variables. Its length must be equal to the number of variables set in the LinearRegression constructor.
y - a double representing the dependent (response) variable
Returns:
the CaseStatistics for the observation.

getCaseStatistics

public LinearRegression.CaseStatistics getCaseStatistics(double[] x,
                                                         double y,
                                                         double w)
Returns the case statistics for an observation and a weight.

Parameters:
x - a double array containing the independent (explanatory) variables. Its length must be equal to the number of variables set in the constructor.
y - a double representing the dependent (response) variable
w - a double representing the weight
Returns:
the CaseStatistics for the observation.

getCaseStatistics

public LinearRegression.CaseStatistics getCaseStatistics(double[] x,
                                                         double y,
                                                         double w,
                                                         int pred)
Returns the case statistics for an observation, weight, and future response count for the desired prediction interval.

Parameters:
x - a double array containing the independent (explanatory) variables. Its length must be equal to the number of variables set in the constructor.
y - a double representing the dependent (response) variable
w - a double representing the weight
pred - an int representing the number of future responses for which the prediction interval is desired on the average of the future responses
Returns:
the CaseStatistics for the observation.

getCaseStatistics

public LinearRegression.CaseStatistics getCaseStatistics(double[] x,
                                                         double y,
                                                         int pred)
Returns the case statistics for an observation and future response count for the desired prediction interval.

Parameters:
x - a double array containing the independent (explanatory) variables. Its length must be equal to the number of variables set in the constructor.
y - a double representing the dependent (response) variable
pred - an int representing the number of future responses for which the prediction interval is desired on the average of the future responses.
Returns:
the CaseStatistics for the observation.

getCoefficients

public double[] getCoefficients()
Returns the regression coefficients.

Returns:
a double array containing the regression coefficients. If hasIntercept is false its length is equal to the number of variables. If hasIntercept is true then its length is the number of variables plus one and the 0-th entry is the value of the intercept. If the model is not full rank, the regression coefficients are not uniquely determined. In this case, a warning is issued and a solution with all linearly dependent regressors set to zero is returned.
See Also:
Warning

getCoefficientTTests

public LinearRegression.CoefficientTTests getCoefficientTTests()
Returns statistics relating to the regression coefficients.


getR

public double[][] getR()
Returns a copy of the R matrix. R is the upper triangular matrix containing the R matrix from a QR decomposition of the matrix of regressors.

Returns:
a double matrix containing a copy of the R matrix

getRank

public int getRank()
Returns the rank of the matrix.

Returns:
the int rank of the matrix

update

public void update(double[][] x,
                   double[] y)
Updates the regression object with a new set of observations.

Parameters:
x - a double matrix containing the independent (explanatory) variables. The number of rows in x must equal the length of y and the number of columns must be equal to the number of variables set in the constructor.
y - a double array containing the dependent (response) variables.

update

public void update(double[][] x,
                   double[] y,
                   double[] w)
Updates the regression object with a new set of observations and weights.

Parameters:
x - a double matrix containing the independent (explanatory) variables. The number of rows in x must equal the length of y and the number of columns must be equal to the number of variables set in the constructor.
y - a double array containing the dependent (response) variables.
w - a double array representing the weights

update

public void update(double[] x,
                   double y)
Updates the regression object with a new observation.

Parameters:
x - a double array containing the independent (explanatory) variables. Its length must be equal to the number of variables set in the constructor.
y - a double representing the dependent (response) variable

update

public void update(double[] x,
                   double y,
                   double w)
Updates the regression object with a new observation and weight.

Parameters:
x - a double array containing the independent (explanatory) variables. Its length must be equal to the number of variables set in the constructor.
y - a double representing the dependent (response) variable
w - a double representing the weight

JMSLTM Numerical Library 6.0

Copyright © 1970-2009 Visual Numerics, Inc.
Built September 1 2009.