public class NaiveBayesClassifier extends Object implements Serializable
NaiveBayesClassifier trains a Naive Bayes classifier for
classifying data into one of nClasses target classes. Input
attributes can be a combination of both nominal and continuous data. Ordinal
data can be treated as either nominal attributes or continuous. If the
distribution of the ordinal data is known or can be approximated using one of
the continuous distributions, then associating them with continuous
attributes allows a user to specify that distribution. Missing values are
allowed.
Before training the classifier the input attributes must be specified. For
each nominal attribute, use method createNominalAttribute to
specify the number of categories in each nNominal attribute.
Specify the input attributes in the same column order that they will be
supplied to the train method. For example, if the input
attribute in the first two columns of the nominal input data,
nominalData, represent the first two nominal attributes and have
two and three categories respectively, then the first call to the
createNominalAttribute method would specify two categories and
the second call to createNominalAttribute would specify three
categories.
Likewise, for each continuous attribute, the method
createContinuousAttribute can be used to specify a
ProbabilityDistribution other than the default
NormalDistribution. A second createContinuousAttribute
is provided to allow specification of a different distribution for each
target class (see Example 3). Create each continuous attribute in the same
column order they will be supplied to the train method. If
createContinuousAttribute is not invoked for all
nContinuous attributes, the NormalDistribution
ProbabilityDistribution will be used. For example, if five
continuous attributes have been specified in the constructor, but only three
calls to createContinuousAttribute have been invoked, the last
two attributes, or columns of continuousData in the
train method, will use the NormalDistribution
ProbabilityDistribution.
Nominal only, continuous only, and a combination of both nominal and
continuous input attributes are allowed. The three train methods
allow for a combination of input attribute types.
Let C be the classification attribute with target categories
, and let
be a vector valued array
of k=nNominal+nContinuous input attrtibutes,
where nNominal is the number of nominal attributes and
nContinuous is the number of continuous attributes. See methods
createNominalAttribute to specify the number of categories for
each nominal attribute and createContinuousAttribute to specify
the distribution for each continuous attribute. The classification problem
simplifies to estimate the conditional probability
P(C|X) from a set of training patterns. The Bayes rule states that
this probability can be expressed as the ratio:
![]()
![]()
The classifier simplifies this calculation by assuming conditional independence. That is it assumes that:
![]()
![]()
For nominal attributes, this implementation of the Naive Bayes classifier estimates conditional probabilities using a smoothed estimate:
![]()
The probability P(C=c) is also estimated using a smoothed estimate:
![]()
These estimates correspond to the maximum a priori (MAP) estimates for a
Dirichelet prior assuming equal priors. The smoothing parameter can be any
non-negative value. Setting
corresponds to no
smoothing. The default smoothing used in this algorithm,
, is commonly referred to as Laplace smoothing.
This can be specified using the optional
setDiscreteSmoothingValue.
For continuous attributes, the same conditional probability
in the Naive Bayes formula is replaced with
the conditional probability density function
.
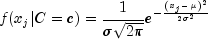
By default, the density function for continuous attributes is the normal (Gaussian)
probability density function (see NormalDistribution):
![]()
getMeans and getStandardDeviations are provided to
calculate the conditional mean and standard deviations of the training
patterns.
In addition to the default normal pdf, users can select any continuous
distribution to model the continuous attribute by providing an implementation
of the com.imsl.stat.ProbabilityDistribution interface. See
NormalDistribution, LogNormalDistribution,
GammaDistribution, and PoissonDistribution for
classes that implement the ProbabilityDistribution interface.
Smoothing conditional probability calculations for continuous attributes
is controlled by the methods setContinuousSmoothingValue and
setZeroCorrection. By default, conditional probability
calculations for continuous attributes are unadjusted for calculations near
zero. The value specified in the setContinuousSmoothingValue
method will be added to each continuous probability calculation. This is
similar to the effect of using setDiscreteSmoothingValue for the corresponding
discrete calculations.
The value specified in the setZeroCorrection method is used when
, where
is
the smoothing parameter setting. If this condition occurs, the conditional
probability is replaced with the value set in setZeroCorrection.
Methods getClassificationErrors, getPredictedClass,
getProbabilities, and getTrainingErrors
provide information on how well the trained NaiveBayesClassifier
predicts the known target classifications of the training patterns.
Methods probabilities and predictClass estimate
classification probabilities
and predict classification of the input pattern using the trained Naive
Bayes Classifier. The predicted classification returned by
predictClass is the class with the largest estimated
classification probability. Method classError predicts the
classification from the trained Naive Bayes classifier and compares the predicted
classifications with the known target classification provided. This allows
verification of the classifier with a set of patterns other than the
training patterns.
| Constructor and Description |
|---|
NaiveBayesClassifier(int nContinuous,
int nNominal,
int nClasses)
Constructs a NaiveBayesClassifier
|
| Modifier and Type | Method and Description |
|---|---|
double |
classError(double[] continuous,
int[] nominal,
int classification)
Returns the classification probability error for the input pattern and
known target classification.
|
void |
createContinuousAttribute(ProbabilityDistribution pdf)
Create a continuous variable and the associated distribution function.
|
void |
createContinuousAttribute(ProbabilityDistribution[] pdf)
Create a continuous variable and the associated distribution functions for
each target classification.
|
void |
createNominalAttribute(int nCategories)
Create a nominal attribute and the number of categories
|
int[] |
getClassCounts(int[] classificationData)
Returns the number of patterns for each target classification.
|
double[] |
getClassificationErrors()
Returns the classification probability errors for each pattern in the
training data.
|
double[][] |
getMeans(double[][] continuousData,
int[] classificationData)
Returns a table of means for each continuous attribute in
continuousData segmented by the target classes in
classificationData. |
int[] |
getPredictedClass()
Returns the predicted classification for each training pattern.
|
double[][] |
getProbabilities()
Returns the predicted classification probabilities for each target class.
|
double[][] |
getStandardDeviations(double[][] continuousData,
int[] classificationData)
Returns a table of standard deviations for each continuous attribute in
continuousData segmented by the target classes in
classificationData. |
int[][] |
getTrainingErrors()
Returns a table of classification errors of non-missing
classifications for each target classification plus the overall total
of classification errors.
|
void |
ignoreMissingValues(boolean ignoreMissing)
Specifies whether or not missing values will be ignored during the training
process.
|
int |
predictClass(double[] continuous,
int[] nominal)
Predicts the classification for the input pattern using the
trained Naive Bayes classifier.
|
double[] |
probabilities(double[] continuous,
int[] nominal)
Predicts the classification probabilities for the input pattern using the
trained Naive Bayes classifier.
|
void |
setContinuousSmoothingValue(double clambda)
Parameter for calculating smoothed estimates of conditional
probabilities for continuous attributes.
|
void |
setDiscreteSmoothingValue(double dlambda)
Parameter for calculating smoothed estimates of conditional
probabilities for discrete (nominal) attributes.
|
void |
setZeroCorrection(double zeroCorrection)
Specifies the replacement value to be used for conditional probabilities
equal to zero.
|
void |
train(double[][] continuousData,
int[] classificationData)
Trains a Naive Bayes classifier for classifying data into one of
nClasses target classifications. |
void |
train(double[][] continuousData,
int[][] nominalData,
int[] classificationData)
Trains a Naive Bayes classifier for classifying data into one of
nClasses target classifications. |
void |
train(int[][] nominalData,
int[] classificationData)
Trains a Naive Bayes classifier for classifying data into one of
nClasses target classifications. |
public NaiveBayesClassifier(int nContinuous,
int nNominal,
int nClasses)
nContinuous - an int containing the number of
continuous attributesnNominal - an int containing the number of nominal
attributesnClasses - an int containing the number of target
classificationspublic double classError(double[] continuous,
int[] nominal,
int classification)
continuous - a double array of length
nContinuous containing an input pattern of
continuous attributes. If
nContinuous = 0, a null is
allowed.nominal - an int array of length nNominal
containing an input pattern of nominal attributes. If
nNominal = 0, a null is
allowed.classification - an int containing the target
classification.double containing the classification probability
error for the input pattern. The classification error for the
input pattern is equal to 1-p,
where p is the predicted class probability of input
classification. The predicted class probability of input
classification can be obtained by the method
probabilities. If
p = probabilities and k is
equal to classification, then the classification error
is 1 - p[k].public void createContinuousAttribute(ProbabilityDistribution pdf)
pdf - a ProbabiltyDistribution to be applied to
the continuous attribute. The distribution function will be
applied to all classes. By default,
NormalDistribution is used.public void createContinuousAttribute(ProbabilityDistribution[] pdf)
pdf - an array of ProbabilityDistributions containing
nClasses distribution functions for a continuous attribute.
This allows a different distribution function to be applied
to each classification. By default,
NormalDistribution is used.public void createNominalAttribute(int nCategories)
nCategories - an int containing the number of
categories in the nominal attribute. The category
values are expected to be encoded with integers
ranging from 0 to nCategories -1.
No default is used for nCategories. If
nNominal is not zero, and
createNominalAttribute is not invoked
for each nNominal attribute, an
IllegalStateException will be thrown when
the train method is invoked.public int[] getClassCounts(int[] classificationData)
classificationData - an int array containing the target
classifications for the training patterns. These
must be encoded from zero to nClasses-1.
Any value outside this range is considered a
missing value. In this case, the data in that
pattern are not used to train the Naive Bayes
classifier. However, any pattern with missing
values is still classified after the classifier is
trained.int array containing the class counts.public double[] getClassificationErrors()
double array containing the classification
probability errors for each pattern in the training data.
The classification error for the i-th training pattern is
equal to 1-predictedClassProbability[i][k],
where predictedClassProbability is returned from
getProbabilities and k is
equal to classificationData[i].public double[][] getMeans(double[][] continuousData,
int[] classificationData)
continuousData segmented by the target classes in
classificationData.
This method is provided as a utility, prior training is not necessary.
continuousData - a double matrix containing training
values for the continuous attributes.classificationData - an int array containing the target
classifications for the training patterns.continuousData[0].length by nClasses
double matrix, means, containing the means segmented by the
target classes. The i-th row contains the means of the
i-th continuous attribute for each value of the target
classification. That is, means[i][j] is the mean for
the i>-th continuous attribute when the target
classification equals j, unless there are no training
patterns for this condition.public int[] getPredictedClass()
int array containing the predicted classification
for each training pattern.public double[][] getProbabilities()
double matrix, prob, of size nPatterns by
nClasses containing the predicted classification
probabilities for each target class, where nPatterns is
the number of patterns trained. prob[i][j] is the estimated
probability that the i-th pattern belongs to the j-th
target class.public double[][] getStandardDeviations(double[][] continuousData,
int[] classificationData)
continuousData segmented by the target classes in
classificationData.
This method is provided as a utility, prior training is not necessary.
continuousData - a double matrix containing training
values for the continuous attributes.classificationData - an int array containing the target
classifications for the training patterns.continuousData[0].length by nClasses
double matrix, stdev, containing the standard deviations segmented by the
target classes. The i-th row contains the standard
deviation of the i-th continuous attribute for each
value of the target classification. That is,
stdev[i][j] is the standard deviations for the
i>-th continuous attribute when the target classification
equals j, unless there are no training patterns for this
condition.public int[][] getTrainingErrors()
int matrix containing nClasses + 1 rows
and two columns. The first column contains the number of misclassifications
and the second column contains the total number of classifications for the
i-th row target class. The last row of the matrix contains the
total number of misclassifications in column one and the total non-missing
classifications in column two.public void ignoreMissingValues(boolean ignoreMissing)
ignoreMissing - a boolean specifying whether or not to
ignore patterns during training when one or more
input attributes are missing. By default, both
missing and non-missing values are used to train the
classifier. Classification predictions are still
returned for all patterns even when set to true.
By default, ignoreMissing = false.public int predictClass(double[] continuous,
int[] nominal)
continuous - a double array containing an input pattern of
nContinuous continuous attributes. If
nContinuous = 0, a null is
allowed.nominal - an int array of length nNominal
containing an input pattern of nominal attributes. If
nNominal = 0, a null is
allowed.int containing the predicted classification
for the input pattern using the trained Naive Bayes Classifier.
The predicted classification returned is the class with the
largest estimated classification probability. The classification
probabilities can be predicted using the
probabilities method.public double[] probabilities(double[] continuous,
int[] nominal)
continuous - a double array containing an input pattern of
nContinuous continuous attributes. If
nContinuous = 0, a null is
allowed.nominal - an int array of length nNominal
containing an input pattern of nominal attributes. If
nNominal = 0, a null is
allowed.double array of length nClasses
containing the predicted classification probabilities for each
target class.public void setContinuousSmoothingValue(double clambda)
clambda - a double containing the smoothing parameter to
be used for calculating smoothed estimates of conditional
probabilities for continuous attributes. clambda
must be non-negative. By default, clambda=0,
i.e. no smoothing is done.public void setDiscreteSmoothingValue(double dlambda)
dlambda - a double containing the smoothing parameter to
be used for calculating smoothed estimates of
conditional probabilities for discrete attributes.
dlambda must be non-negative.
By default, dlambda = 1.0, i.e. Laplace
smoothing of conditional probabilities.public void setZeroCorrection(double zeroCorrection)
zeroCorrection - a double containing the value to replace
conditional probabilities equal to zero.
zeroCorrection must be non-negative.
By default, no correction will be performed.public void train(double[][] continuousData,
int[] classificationData)
nClasses target classifications.continuousData - a double matrix containing the training
values for the nContinuous continuous
attributes. The i-th row contains the input
attributes for the i-th training pattern. The
j-th column contains the values for the
j-th continuous attribute. Missing values
should be set to Double.NaN. Patterns
with both non-missing and missing values are used to
train the classifier unless the
ignoreMissingValues method has been
set to true.classificationData - an int array containing the target
classifications for the training patterns. These
must be encoded from zero to nClasses-1.
Any value outside this range is considered a
missing value. In this case, the data in that
pattern are not used to train the Naive Bayes
classifier. However, any pattern with missing
values is still classified after the classifier is
trained.public void train(double[][] continuousData,
int[][] nominalData,
int[] classificationData)
nClasses target classifications.continuousData - a double matrix containing the training
values for the nContinuous continuous
attributes. The i-th row contains the input
attributes for the i-th training pattern. The
j-th column contains the values for the
j-th continuous attribute. Missing values
should be set to Double.NaN. Patterns
with both non-missing and missing values are used to
train the classifier unless the
ignoreMissingValues method has been
set to true.nominalData - an int matrix containing the training
values for the nNominal nominal
attributes. The i-th row contains the input
attributes for the i-th training pattern. The
j-th column contains the classifications for the
j-th nominal attribute. The values for the
j-th nominal attribute are expected to be
encoded with integers starting from 0 to
nCategories - 1, where nCategories is
specified in the createNominalAttribute
method. Any value outside this range is treated as
a missing value. Patterns with both non-missing
and missing values are used to train the classifier
unless the ignoreMissingValues
method has been set to true.classificationData - an int array containing the target
classifications for the training patterns. These
must be encoded from zero to nClasses-1.
Any value outside this range is considered a
missing value. In this case, the data in that
pattern are not used to train the Naive Bayes
classifier. However, any pattern with missing
values is still classified after the classifier is
trained.public void train(int[][] nominalData,
int[] classificationData)
nClasses target classifications.nominalData - an int matrix containing the training
values for the nNominal nominal
attributes. The i-th row contains the input
attributes for the i-th training pattern. The
j-th column contains the classifications for the
j-th nominal attribute. The values for the
j-th nominal attribute are expected to be
encoded with integers starting from 0 to
nCategories - 1, where nCategories is
specified in the createNominalAttribute
method. Any value outside this range is treated as
a missing value. Patterns with both non-missing
and missing values are used to train the classifier
unless the ignoreMissingValues
method has been set to true.classificationData - an int array containing the target
classifications for the training patterns. These
must be encoded from zero to nClasses-1.
Any value outside this range is considered a
missing value. In this case, the data in that
pattern are not used to train the Naive Bayes
classifier. However, any pattern with missing
values is still classified after the classifier is
trained.Copyright © 1970-2015 Rogue Wave Software
Built March 24 2015.