public static final class DecisionTreeInfoGain.GainCriteria extends Enum
| Modifier and Type | Field and Description |
|---|---|
static DecisionTreeInfoGain.GainCriteria |
DEVIANCE
A measure of the quality of fit.
|
static DecisionTreeInfoGain.GainCriteria |
GINI_INDEX
A measure of statistical dispersion.
|
static DecisionTreeInfoGain.GainCriteria |
SHANNON_ENTROPY
A measure of randomness or uncertainty.
|
| Modifier and Type | Method and Description |
|---|---|
static DecisionTreeInfoGain.GainCriteria |
valueOf(String name) |
static DecisionTreeInfoGain.GainCriteria[] |
values() |
public static final DecisionTreeInfoGain.GainCriteria DEVIANCE
For a categorical variable having
distinct
values over a data set
, the Deviance measure
is
![]()
![]()
![]()
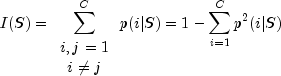
public static final DecisionTreeInfoGain.GainCriteria GINI_INDEX
For a categorical variable having
distinct
values over a data set
, the Gini index is
defined as

public static final DecisionTreeInfoGain.GainCriteria SHANNON_ENTROPY
For a categorical variable having
distinct
values over a data set
, the Shannon Entropy is
defined as
![]()
![]()
![]()
public static DecisionTreeInfoGain.GainCriteria valueOf(String name)
public static DecisionTreeInfoGain.GainCriteria[] values()
Copyright © 1970-2015 Rogue Wave Software
Built March 24 2015.