public class ComplexFFT extends Object implements Serializable, Cloneable
Class ComplexFFT computes the discrete complex Fourier
transform of a complex vector of size N. The method
used is a variant of the Cooley-Tukey algorithm, which is most efficient
when N is a product of small prime factors. If
N satisfies this condition, then the computational
effort is proportional to N log N.
This considerable savings has historically led people to refer to this
algorithm as the "fast Fourier transform" or FFT.
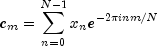
Specifically, given an N-vector
,
method forward returns
![]()
Furthermore, a vector of Euclidean norm S is mapped into a vector of norm
![]()
Finally, note that we can invert the Fourier transform as follows:
![]()
This formula reveals the fact that, after properly normalizing the
Fourier coefficients, one has the coefficients for a trigonometric
interpolating polynomial to the data. An unnormalized inverse is implemented
in backward. ComplexFFT is based on the complex FFT in FFTPACK.
The package, FFTPACK was developed by Paul Swarztrauber at the National
Center for Atmospheric Research.
Specifically, given an N-vector c,
backward returns
![]()
Furthermore, a vector of Euclidean norm S is mapped into a vector of norm
![]()
Finally, note that we can invert the inverse Fourier transform as follows:
![]()
This formula reveals the fact that, after properly normalizing the Fourier coefficients, one has the coefficients for a trigonometric interpolating polynomial to the data. backward is based on the complex inverse FFT in FFTPACK. The package, FFTPACK was developed by Paul Swarztrauber at the National Center for Atmospheric Research.
| Constructor and Description |
|---|
ComplexFFT(int n)
Constructs a complex FFT object.
|
public ComplexFFT(int n)
n - is the array size that this object can handle.Copyright © 1970-2015 Rogue Wave Software
Built March 24 2015.