public class CsSmooth extends Spline
Class CsSmooth is designed to produce a
cubic spline approximation to a data set in which
the function values are noisy. This spline is called a smoothing spline. It
is a natural cubic spline with knots at all the data abscissas
x = xData, but it does not interpolate the data
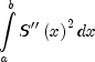
. The smoothing spline S
is the unique
function that minimizes

subject to the constraint
![]()
where
is the smoothing parameter. The reader
should consult Reinsch (1967) for more information concerning smoothing
splines. CsSmooth solves the above problem when the user
provides the smoothing parameter
.
CsSmoothC2 attempts to find the "optimal" smoothing parameter
using the statistical technique known as cross-validation. This means that
(in a very rough sense) one chooses the value of
so that the smoothing spline
best
approximates the value of the data at
, if it is
computed using all the data except the i-th; this is
true for all
. For more information on
this topic, we refer the reader to Craven and Wahba (1979).
breakPoint, coef, EPSILON_LARGE| Constructor and Description |
|---|
CsSmooth(double[] xData,
double[] yData)
Constructs a smooth cubic spline from noisy data using
cross-validation to estimate the smoothing parameter.
|
CsSmooth(double[] xData,
double[] yData,
double[] weight)
Constructs a smooth cubic spline from noisy data using
cross-validation to estimate the smoothing parameter.
|
copyAndSortData, copyAndSortData, derivative, derivative, derivative, getBreakpoints, integral, value, valuepublic CsSmooth(double[] xData,
double[] yData)
xData - A double array containing the x-coordinates of the data.
Values must be distinct.yData - A double array containing the y-coordinates of the data.
The arrays xData and yData must have
the same length.public CsSmooth(double[] xData,
double[] yData,
double[] weight)
xData - A double array containing the
x-coordinates of the data.
Values must be distinct.yData - A double array containing the
y-coordinates of the data.
The arrays xData and yData must have
the same length.weight - A double array containing the
relative weights. This array must have
the same length as xData.Copyright © 1970-2015 Rogue Wave Software
Built March 24 2015.