public class FFT extends Object implements Serializable, Cloneable
Class FFT computes the discrete Fourier transform of a real
vector of size n. The method used is a variant of the
Cooley-Tukey algorithm, which is most efficient when n
is a product of small prime factors. If n satisfies
this condition, then the computational effort is proportional to
n log n.
The forward method computes the forward transform. If
n is even, then the forward transform is
![]()
![]()
![]()
If n is odd,
is defined as
above for m from 1 to
(n - 1)/2.
Let f be a real valued function of time. Suppose we
sample f at n equally spaced time
intervals of length
seconds starting at time
. That is, we have
![]()
We will assume that n is odd for the remainder of
this discussion. The class FFT treats this sequence as if
it were periodic of period n. In particular, it
assumes that
. Hence, the period of the function is assumed to be
. We can invert the above transform for
p as follows:
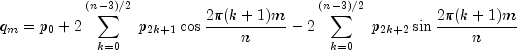
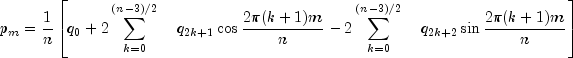
![p_m = {1 over n}left[ {q_0 +
2sumlimits_{k = 0}^{left( {n - 3} right)/2} {quad q_{2k + 1} } cos
{{2pi (k+1)m} over n} - 2sumlimits_{k = 0}^{left( {n - 3} right)/2}
{quad q_{2k + 2} } sin {{2pi (k+1)m} over n}} right]](eqn_1340.png)
This formula is very revealing. It can be interpreted in the following
manner. The coefficients q produced by FFT
determine an interpolating trigonometric polynomial to the data. That is,
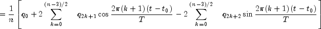
if we define
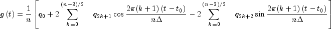
![gleft( t right) = {1 over n}left[
{q_0 + 2sumlimits_{k = 0}^{left( {n - 3} right)/2} {quad q_{2k + 1} }
cos {{2pi (k+1)left( {t - t_0 } right)} over {nDelta }} -
2sumlimits_{k = 0}^{left( {n - 3} right)/2} {quad q_{2k + 2} }
sin {{2pi (k+1)left( {t - t_0 } right)} over {nDelta }}} right]](eqn_1341.png)
![= {1 over n}left[ {q_0 + 2sumlimits_{k = 0}^{left(
{n - 3} right)/2} {quad q_{2k + 1} } cos {{2pi (k+1)left( {t - t_0 }
right)} over T} - 2sumlimits_{k = 0}^{left( {n - 3} right)/2} {quad
q_{2k + 2} } sin {{2pi (k+1)left( {t - t_0 } right)} over T}} right]](eqn_1342.png)
then we have
![]()
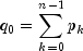
Now suppose we want to discover the dominant frequencies, forming the vector P of length (n + 1)/2 as follows:
![]()
![]()
These numbers correspond to the energy in the spectrum of the signal.
In particular,
corresponds to the energy level
at frequency
![]()
Furthermore, note that there are only
resolvable frequencies when n observations are taken.
This is related to the Nyquist phenomenon, which is induced by discrete
sampling of a continuous signal. Similar relations hold for the case when
n is even.
If the backward method is used, then the backward transform
is computed. If n is even, then the backward transform is

If n is odd,

The backward Fourier transform is the unnormalized inverse of the forward Fourier transform.
FFT is based on the real FFT in FFTPACK, which was
developed by Paul Swarztrauber at the National Center for Atmospheric
Research.
| Constructor and Description |
|---|
FFT(int n)
Constructs an FFT object.
|
public FFT(int n)
n - is the length of the sequence to be transformedpublic double[] backward(double[] coef)
coef - a double array containing the Fourier coefficientsdouble array containing the periodic sequencepublic double[] forward(double[] seq)
seq - a double array containing the sequence to be transformeddouble array containing the transformed sequenceCopyright © 1970-2015 Rogue Wave Software
Built March 24 2015.