public static interface FeynmanKac.ForcingTerm
| Modifier and Type | Method and Description |
|---|---|
void |
force(int interval,
double[] y,
double time,
double width,
double[] xlocal,
double[] qw,
double[][] u,
double[] phi,
double[][] dphi)
Computes approximations to the forcing term
|
void force(int interval,
double[] y,
double time,
double width,
double[] xlocal,
double[] qw,
double[][] u,
double[] phi,
double[][] dphi)
interval - an int, the index related to the integration
interval [xGrid[interval-1], xGrid[interval]].y - an input double array of length 3*xGrid.length
containing the coefficients of the Hermite quintic spline
representing the solution of the Feynman-Kac equation at time
point time. For each
![]()
![]()
y.time - a double, the time point.width - a double, the width of the integration interval,
width=xGrid[interval]-xGrid[interval-1].xlocal - an input double array containing the Gauss-Legendre points
translated and normalized to the interval
[xGrid[interval-1], xGrid[interval]].qw - an input double array containing the Gauss-Legendre weights.u - an input double array of dimension 12 by xlocal.length
containing the basis function values that define
xlocal. Setting
![]()
![]()
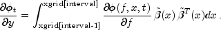
phi - an output double array of length 6 containing Gauss-Legendre
approximations for the local contributions
![]()
t=time and
degree the number of Gauss-Legendre points (xlocal.length) and setting
phi
contains elements
![]()
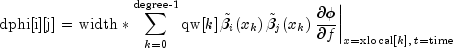
i=0,...,5.dphi - an output double array of dimension 6 by 6 containing a
Gauss-Legendre approximation for the Jacobian of the local contributions
t=time,
![]()
![]()
i,j=0,...,5.Copyright © 1970-2015 Rogue Wave Software
Built March 24 2015.