public class NonlinLeastSquares extends Object implements Serializable, Cloneable
NonlinLeastSquares is based on the MINPACK routine
LMDIF by Moré et al. (1980). It uses a modified Levenberg-Marquardt
method to solve nonlinear least squares problems. The problem is stated as
follows:
![]()
where
,
,
and
is the i-th component function of
F(x). From a current point, the algorithm uses the trust
region approach:
![]()
subject to
![]()
to get a new point
, which is computed as
![]()
where
if
and
otherwise.
and
are the function values and the Jacobian
evaluated at the current point
. This procedure is
repeated until the stopping criteria are satisfied. The first stopping
criteria occurs when the norm of the function is less than the value set in
method setAbsoluteTolerance. The second stopping criteria occurs
when the norm of the scaled gradient is less than the value set in method
setGradientTolerance. The third stopping criteria occurs when the
scaled distance between the last two steps is less than the value set by
method setStepTolerance. For more details, see Levenberg (1944),
Marquardt (1963), or Dennis and Schnabel (1983, Chapter 10).
A finite-difference method is used to estimate the Jacobian when the
user supplied function, f, defines the least-squares problem.
Whenever the exact Jacobian can be easily provided, f should
implement NonlinLeastSquares.Jacobian.
| Modifier and Type | Class and Description |
|---|---|
static interface |
NonlinLeastSquares.Function
Public interface for the user supplied function to the
NonlinLeastSquares object. |
static interface |
NonlinLeastSquares.Jacobian
Public interface for the user supplied function to the
NonlinLeastSquares object. |
static class |
NonlinLeastSquares.TooManyIterationsException
Too many iterations.
|
| Constructor and Description |
|---|
NonlinLeastSquares(int m,
int n)
Creates an object to solve a nonlinear least squares
problem.
|
| Modifier and Type | Method and Description |
|---|---|
int |
getErrorStatus()
Get information about the performance of NonlinLeastSquares.
|
int |
getNumberOfThreads()
Returns the number of
java.lang.Thread instances used for
parallel processing. |
void |
setAbsoluteTolerance(double absoluteTolerance)
Set the absolute function tolerance.
|
void |
setDigits(int ngood)
Set the number of good digits in the function.
|
void |
setFalseConvergenceTolerance(double falseConvergenceTolerance)
Set the false convergence tolerance.
|
void |
setFscale(double[] fscale)
Set the diagonal scaling matrix for the functions.
|
void |
setGradientTolerance(double gradientTolerance)
Set the scaled gradient tolerance stopping critierion.
|
void |
setGuess(double[] xguess)
Set the initial guess of the minimum point of the input function.
|
void |
setInitialTrustRegion(double initialTrustRegion)
Set the initial trust region radius.
|
void |
setMaximumStepsize(double maximumStepsize)
Set the maximum allowable stepsize to use.
|
void |
setMaxIterations(int maxIterations)
Set the maximum number of iterations allowed.
|
void |
setNumberOfThreads(int numberOfThreads)
Sets the number of
java.lang.Thread instances to be used for
parallel processing. |
void |
setRelativeTolerance(double relativeTolerance)
Set the relative function tolerance.
|
void |
setStepTolerance(double stepTolerance)
Set the scaled step tolerance.
|
void |
setXscale(double[] xscale)
Set the diagonal scaling matrix for the variables.
|
double[] |
solve(NonlinLeastSquares.Function F)
Solve a nonlinear least-squares problem using a modified Levenberg-Marquardt
algorithm and a Jacobian.
|
public NonlinLeastSquares(int m,
int n)
m - is the number of functionsn - is the number of variables. n must be less
than or equal to m.public int getErrorStatus()
int specifying information about convergence.
| VALUE | DESCRIPTION | 0 | All convergence tests were met. | 1 | Scaled step tolerance was satisfied. The current point may be an approximate local solution, or the algorithm is making very slow progress and is not near a solution, or StepTolerance is too big. | 2 | Scaled actual and predicted reductions in the function are less than or equal to the relative function convergence tolerance RelativeTolerance. | 3 | Iterates appear to be converging to a noncritical point. Incorrect gradient information, a discontinuous function, or stopping tolerances being too tight may be the cause. | 4 | Five consecutive steps with the maximum stepsize have been taken. Either the function is unbounded below, or has a finite asymptote in some direction, or the maximum stepsize is too small. |
setRelativeTolerance(double),
setStepTolerance(double)public int getNumberOfThreads()
java.lang.Thread instances used for
parallel processing.int containing the number of
java.lang.Thread instances used for parallel processing.public void setAbsoluteTolerance(double absoluteTolerance)
absoluteTolerance - a double scalar value
specifying the absolute function tolerance. When the norm
of the function is less than absoluteTolerance
the procedure stops.
Default: absoluteTolerance = 1.0e-32
IllegalArgumentException - is thrown if absoluteTolerance
is less than or equal to 0public void setDigits(int ngood)
ngood - an int specifying the number of good digits in
the user supplied function which defines the least-squares
problemIllegalArgumentException - is thrown if ngood is less than or equal to 0public void setFalseConvergenceTolerance(double falseConvergenceTolerance)
falseConvergenceTolerance - a double scalar value specifying the false convergence
toleranceIllegalArgumentException - is thrown if falseConvergenceTolerance is less than or equal to 0public void setFscale(double[] fscale)
fscale - a double array specifying the diagonal
scaling matrix for the functions. The i-th
component of fscale is a positive scalar
specifying the reciprocal magnitude of the i-th
component function of the problem. By default, the
identity is used.IllegalArgumentException - is thrown if any of the elements
of fscale is less than or equal to 0public void setGradientTolerance(double gradientTolerance)
gradientTolerance - a double specifying the scaled
gradient tolerance used in stopping criteria.
The i-th component of the scaled gradient at
x is calculated as
![]()
![]()
xscale,
fscale, and
![]()
gradientTolerance the procedure stops.
By default,
gradientTolerance =
where
is machine precision.
IllegalArgumentException - is thrown if
gradientTolerance is less than or equal to 0public void setGuess(double[] xguess)
xguess - a double array specifying the initial guess of the
minimum point of the input functionpublic void setInitialTrustRegion(double initialTrustRegion)
initialTrustRegion - a double scalar value specifying the initial trust
region radiusIllegalArgumentException - is thrown if initialTrustRegion is less than or equal to 0public void setMaximumStepsize(double maximumStepsize)
maximumStepsize - a nonnegative double value specifying the maximum allowable
stepsize.IllegalArgumentException - is thrown if maximumStepsize is less than or equal to 0public void setMaxIterations(int maxIterations)
maxIterations - an int specifying the maximum number of
iterations allowedIllegalArgumentException - is thrown if maxIterations is less than or equal to 0public void setNumberOfThreads(int numberOfThreads)
java.lang.Thread instances to be used for
parallel processing.numberOfThreads - an int specifying the number of
java.lang.Thread instances to be used for parallel
processing. If numberOfThreads is greater than 1, then
interface Function.f is evaluated in parallel and
Function.f must be thread-safe. Otherwise, unexpected
behavior can occur.
Default: numberOfThreads = 1.
public void setRelativeTolerance(double relativeTolerance)
relativeTolerance - a double scalar value
specifying the relative function tolerance
Default: relativeTolerance = 1.0e-20
IllegalArgumentException - is thrown if relativeTolerance
is less than or equal to 0public void setStepTolerance(double stepTolerance)
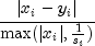
stepTolerance - a double scalar value specifying the
scaled step tolerance used in stopping criteria. The
i-th component of the scaled step between two
points x and y is computed as
![]()
xscale.
When the scaled distance between the last two steps is
less than stepTolerance the procedure stops.
By default,
stepTolerance =
where
is machine precision.
IllegalArgumentException - is thrown if stepTolerance is less than or equal to 0public void setXscale(double[] xscale)
xscale - a double array specifying the diagonal
scaling matrix for the variables. xscale is
used in scaling the gradient and the distance between
two points. See methods setGradientTolerance and
setStepTolerance for more detail. By default,
the identity is used.IllegalArgumentException - is thrown if any of the elements
of xscale is less than or equal to 0public double[] solve(NonlinLeastSquares.Function F) throws NonlinLeastSquares.TooManyIterationsException
F - User supplied function that defines the least-squares problem.
If F implements Jacobian then its Jacobian is used.
Otherwise, a finite difference Jacobian is used.double array of length n containing the approximate solutionNonlinLeastSquares.TooManyIterationsException - is thrown if the number of iterations
exceeds MaxIterations. MaxIterations is set to 100 by
default.Copyright © 1970-2015 Rogue Wave Software
Built March 24 2015.