public final class InvCdf extends Object
| Modifier and Type | Method and Description |
|---|---|
static double |
beta(double p,
double pin,
double qin)
Evaluates the inverse of the beta cumulative probability distribution function.
|
static double |
chi(double p,
double df)
Evaluates the inverse of the chi-squared cumulative probability distribution function.
|
static int |
discreteUniform(double p,
int n)
Returns the inverse of the discrete uniform cumulative probability distribution function.
|
static double |
exponential(double p,
double scale)
Evaluates the inverse of the exponential cumulative probability distribution function.
|
static double |
extremeValue(double p,
double mu,
double beta)
Returns the inverse of the extreme value cumulative probability distribution function.
|
static double |
F(double p,
double dfn,
double dfd)
Returns the inverse of the F cumulative probability distribution function.
|
static double |
gamma(double p,
double a)
Evaluates the inverse of the gamma cumulative probability distribution function.
|
static double |
geometric(double r,
double pin)
Returns the inverse of the discrete geometric cumulative probability distribution function.
|
static double |
logistic(double p,
double mu,
double s)
Returns the inverse of the logistic cumulative probability distribution function.
|
static double |
logNormal(double p,
double mu,
double sigma)
Returns the inverse of the standard lognormal cumulative probability distribution function.
|
static double |
noncentralBeta(double p,
double shape1,
double shape2,
double lambda)
Evaluates the inverse of the noncentral beta cumulative distribution function (CDF).
|
static double |
noncentralchi(double p,
double df,
double alam)
Evaluates the inverse of the noncentral chi-squared cumulative probability distribution function.
|
static double |
noncentralF(double p,
double dfn,
double dfd,
double lambda)
Evaluates the inverse of the noncentral F cumulative distribution
function (CDF).
|
static double |
noncentralstudentsT(double p,
int idf,
double delta)
Evaluates the inverse of the noncentral Student's t cumulative probability distribution function.
|
static double |
normal(double p)
Evaluates the inverse of the normal (Gaussian) cumulative probability distribution function.
|
static double |
Pareto(double p,
double xm,
double k)
Returns the inverse of the Pareto cumulative probability density function.
|
static double |
Rayleigh(double p,
double alpha)
Returns the inverse of the Rayleigh cumulative probability distribution function.
|
static double |
studentsT(double p,
double df)
Returns the inverse of the Student's t cumulative probability distribution function.
|
static double |
uniform(double p,
double aa,
double bb)
Returns the inverse of the uniform cumulative probability distribution function.
|
static double |
Weibull(double p,
double gamma,
double alpha)
Returns the inverse of the Weibull cumulative probability distribution function.
|
public static double beta(double p,
double pin,
double qin)
Method beta evaluates the inverse distribution
function of a beta random variable with parameters pin and
qin, that is, with P = p,
p = pin, and q = qin, it
determines x (equal to
beta (p, pin, qin)), such that
![]()
where
is the gamma function. The
probability that the random variable takes a value less than or equal to
x is P.
p - a double, the probability for which the inverse of the
beta CDF is to be evaluated.pin - a double, the first beta distribution parameter.qin - a double, the second beta distribution parameter.double, the probability that a beta random
variable takes a value less than or equal to this returned
value is p.public static double chi(double p,
double df)
Method chi evaluates the inverse distribution
function of a chi-squared random variable with df degrees
of freedom, that is, with P = p and
v = df, it determines x (equal
to chi(p, df)), such that
![]()
where
is the gamma function. The
probability that the random variable takes a value less than or equal to
x is P.
For
, chi uses
bisection, if
or
, or regula falsi to find the point at
which the chi-squared distribution function is equal to P.
The distribution function is evaluated using chi.
For
, a modified Wilson-Hilferty
approximation (Abramowitz and Stegun 1964, equation 26.4.18) to the
normal distribution is used, and normal is used to
evaluate the inverse of the normal distribution function. For
, the ordinary Wilson-Hilferty
approximation (Abramowitz and Stegun 1964, equation 26.4.17) is used.
p - a double scalar value representing the probability
for which the inverse chi-squared function is to be evaluated.df - a double scalar value representing the number of
degrees of freedom. This must be at least 0.5.double scalar value. The probability
that a chi-squared random variable takes a value less than or
equal to this returned value is p.public static int discreteUniform(double p,
int n)
p - a double scalar value representing
the probability for which the inverse
discrete uniform function is to be evaluatedn - an int scalar value representing the
upper limit of the discrete uniform distributionint scalar value. The probability
that a discrete uniform random variable takes a value less than or
equal to this returned value is p.public static double exponential(double p,
double scale)
Method exponential evaluates the inverse distribution
function of a gamma random variable with scale parameter =b and
shape parameter a=1.0, that is, it determines
, such that
![]()
where
is the gamma function. The
probability that the random variable takes a value less than or equal to
x is P. See the documentation
for routine gamma for further discussion of the gamma
distribution.
exponential uses bisection and modified regula falsi
to invert the distribution function, which is evaluated using method
gamma.
p - a double scalar value representing the
probability at which the function is to be evaluated.scale - a double scalar value representing the scale parameter.double scalar value. The probability
that an exponential random variable takes a value less than or
equal to this returned value is p.public static double extremeValue(double p,
double mu,
double beta)
p - a double scalar value representing
the probability for which the inverse
extreme value function is to be evaluated.mu - a double scalar value representing the location parameter.beta - a double scalar value representing the scale parameter.double scalar value. The probability
that an extreme value random variable takes a value less than or
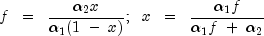
equal to this returned value is p.public static double F(double p,
double dfn,
double dfd)
Method F evaluates the inverse distribution
function of a Snedecor's F random variable with
dfn numerator degrees of freedom and dfd
denominator degrees of freedom. The function is evaluated by making a
transformation to a beta random variable and then using
beta. If X is an
F variate with
and
degrees of freedom and
, then Y
is a beta variate with parameters
and
. If
,
F uses this relationship directly, otherwise, it
also uses a relationship between X random variables
that can be expressed as follows, using f, which is the
F cumulative distribution function:
![]()
p - a double, the probability for which the
inverse of the F distribution function is to
be evaluated. Argument p must be in the open
interval (0.0, 1.0).dfn - a double, the numerator degrees of
freedom. It must be positive.dfd - a double, the denominator degrees of
freedom. It must be positive.double, the probability that an F
random variable takes a value less than or equal
to this returned value is p.public static double gamma(double p,
double a)
Method gamma evaluates the inverse distribution
function of a gamma random variable with shape parameter
a, that is, it determines
, such that
![]()
where
is the gamma function. The
probability that the random variable takes a value less than or equal to
x is P. See the documentation
for routine gamma for further discussion of the gamma
distribution.
gamma uses bisection and modified regula falsi
to invert the distribution function, which is evaluated using method
gamma.
p - a double scalar value representing the
probability at which the function is to be evaluated.a - a double scalar value representing the
shape parameter. This must be positive.double scalar value. The probability
that a gamma random variable takes a value less than or
equal to this returned value is p.public static double geometric(double r,
double pin)
r - a double scalar value representing
the probability for which the inverse
geometric function is to be evaluatedpin - an int scalar value representing the probability parameter
for each independent trial (the probability of success for each
independent trial).double scalar value. The probability
that a geometric random variable takes a value less than or
equal to this returned value is the input probability, r.public static double logistic(double p,
double mu,
double s)
p - a double scalar value representing the probability
for which the inverse logistic function is to be evaluated.mu - a double scalar value representing the
location parameter, s - a double scalar value representing the
scale parameter.double scalar value. The probability
that a logistic random variable takes a value less than or
equal to this returned value is p.public static double logNormal(double p,
double mu,
double sigma)
p - a double scalar value representing
the probability for which the inverse
lognormal function is to be evaluated.mu - a double scalar value representing the location parameter.sigma - a double scalar value representing the shape parameter.
sigma must be a positive.double scalar value. The probability
that a standard lognormal random variable takes a value less than or
equal to this returned value is p.public static double noncentralBeta(double p,
double shape1,
double shape2,
double lambda)
If
is a noncentral chi-square
random variable with noncentrality parameter
and
degrees of freedom, and
is a chi-square random variable with
degrees of freedom which is statistically
independent of
, then
![]()
is a noncentral beta-distributed random variable and
![]()
is a noncentral F-distributed random variable. The CDF for noncentral beta variable X can thus be simply defined in terms of the noncentral F CDF:
![]()
where
is the noncentral beta CDF with
= x,
= shape1,
= shape2, and noncentrality parameter
= lambda;
is the noncentral F CDF
with argument f, numerator and denominator degrees of freedom
and
respectively, and noncentrality parameter
; and:
![]()
(See documentation for class Cdf method noncentralF for a discussion of how the noncentral F CDF
is defined and calculated.)
Method noncentralBeta evaluates
![]()
by first evaluating:
![]()
and then solving for x using
.
(See documentation for class Cdf method noncentralF for a discussion of how the inverse
noncentral F CDF is calculated.)
p - a double scalar value representing the probability for which the inverse of the noncentral beta
cumulative distribution function is to be evaluated.
p must be non-negative and less than or equal to one.shape1 - a double scalar value representing the first shape parameter.
shape1 must be positive.shape2 - a double scalar value representing the second shape parameter.
shape2 must be positive.lambda - a double scalar value representing the noncentrality parameter.
lambda must be nonnegative.double scalar value representing the inverse of the noncentral beta distribution function
evaluated at p. The probability that a noncentral beta random variable takes a value less than or equal to
noncentralBeta is p.public static double noncentralchi(double p,
double df,
double alam)
Method noncentralchi evaluates the inverse distribution
function of a noncentral chi-squared random variable with df degrees
of freedom and noncentrality parameter alam, that is, with P = p,
, and
, it
determines
noncentralchi(p, df, alam)), such that
![]()
where
is the gamma function. The probability that the
random variable takes a value less than or equal to
is
.
Method noncentralchi uses bisection and modified regula falsi to invert the distribution
function, which is evaluated using noncentralchi. See noncentralchi for an
alternative definition of the noncentral chi-squared random variable in terms of normal random variables.
p - a double scalar value representing the probability
for which the inverse noncentral chi-squared distribution
function is to be evaluated. p must be in the
open interval (0.0, 1.0).df - a double scalar value representing the number of
degrees of freedom. This must be at least 0.5. but
less than or equal to 200,000.alam - a double scalar value representing the noncentrality
parameter. This must be nonnegative, and alam + df
must be less than or equal to 200,000.double scalar value. The probability
that a noncentral chi-squared random variable takes a value less than or
equal to this returned value is p.public static double noncentralF(double p,
double dfn,
double dfd,
double lambda)
If
is a noncentral chi-square random variable
with noncentrality parameter
and
degrees of freedom, and
is a chi-square random variable with
degrees
of freedom which is statistically independent of
,
then
![]()
![]()
![]()
![]()
![]()
![]()
dfn, dfd, lambda,
and Method noncentralF evaluates
![]()
noncentralF uses bisection and modified
regula falsi search algorithms to invert the distribution function
noncentralF. For sufficiently small p,
an accurate approximation of p - a double scalar value representing the
probability for which the inverse of the noncentral
F cumulative distribution function is to be
evaluated. p must be non-negative and less
than one.dfn - a double scalar value representing the number
of numerator degrees of freedom. dfn must be positive.dfd - a double scalar value representing the number
of denominator degrees of freedom. dfd must be positive.lambda - a double scalar value representing the
noncentrality parameter. lambda must nonnegative.double scalar value representing the
inverse of the noncentral F distribution function
evaluated at p. The probability that a noncentral
F random variable takes a value less than or equal
to noncentralF(p, dfn, dfd, lambda)
is p.public static double noncentralstudentsT(double p,
int idf,
double delta)
Method noncentralstudentsT evaluates the inverse distribution function
of a noncentral t random variable with idf
degrees of freedom and noncentrality parameter delta; that is, with
,
,
, it determines
noncentralstudentsT(p, idf, delta)), such that
![]()
where
is the gamma function.
The probability that the random variable takes a value less than or
equal to
is P. See noncentralstudentsT for an alternative
definition in terms of normal and chi-squared random variables. The method noncentralstudentsT
uses bisection and modified regula falsi to invert the distribution function, which is evaluated using
noncentralstudentsT.
p - a double scalar value representing the probability for
which the function is to be evaluated.idf - an int scalar value representing the number of
degrees of freedom. This must be positive.delta - a double scalar value representing the noncentrality
parameter.double scalar value. The probability
that a noncentral Student's t random variable takes a value less than or
equal to this returned value is p.public static double normal(double p)
Method normal evaluates the inverse of the
distribution function,
, of a standard normal
(Gaussian) random variable, that is, normal
, where
![]()
The value of the distribution function at the point x is the probability that the random variable takes a value less than or equal to x. The standard normal distribution has a mean of 0 and a variance of 1.
p - a double scalar value representing the probability
at which the function is to be evaluated.double scalar value. The probability
that a standard normal random variable takes a value less than or
equal to this returned value is p.public static double Pareto(double p,
double xm,
double k)
p - a double scalar value representing the probability
for which the inverse Pareto function is to be evaluated.xm - a double scalar value representing the
scale parameter, k - a double scalar value representing the
shape parameter.double scalar value. The probability
that a Pareto random variable takes on a value less than or
equal to this returned value is p.public static double Rayleigh(double p,
double alpha)
p - a double scalar value representing
the probability for which the inverse
Rayleigh function is to be evaluated.alpha - a double scalar value representing the scale parameter.double scalar value. The probability
that a Rayleigh random variable takes a value less than or
equal to this returned value is p.public static double studentsT(double p,
double df)
studentsT evaluates the inverse distribution
function of a Student's t random variable with
df degrees of freedom. Let v = df. If
v equals 1 or
2, the inverse can be obtained in closed form, if
v is between 1 and 2, the relationship of a
t to a beta random variable is exploited and
beta is used to evaluate the inverse; otherwise the
algorithm of Hill (1970) is used. For small values of v
greater than 2, Hill's algorithm inverts an integrated expansion in
of the t density.
For larger values, an asymptotic inverse Cornish-Fisher type expansion
about normal deviates is used.
p - a double scalar value representing the probability
for which the inverse Student's t function is to be evaluated.df - a double scalar value representing the number of
degrees of freedom. This must be at least one.double scalar value. The probability
that a Student's t random variable takes a value less than or
equal to this returned value is p.public static double uniform(double p,
double aa,
double bb)
p - a double scalar value representing
the probability for which the inverse
uniform function is to be evaluated.aa - a double scalar value representing the minimum value.bb - a double scalar value representing the maximum value.double scalar value. The probability
that a uniform random variable takes a value less than or
equal to this returned value is p.public static double Weibull(double p,
double gamma,
double alpha)
p - a double scalar value representing
the probability for which the inverse
Weibull function is to be evaluated.gamma - a double scalar value representing the shape parameter.alpha - a double scalar value representing the scale parameter.double scalar value. The probability
that a Weibull random variable takes a value less than or
equal to this returned value is p.Copyright © 1970-2015 Rogue Wave Software
Built March 24 2015.