public class KalmanFilter extends Object implements Serializable, Cloneable
Class KalmanFilter is based on a recursive algorithm given
by Kalman (1960), which has come to be known as the Kalman filter.
The underlying model is known as the state-space model. The model is
specified stage by stage where the stages generally correspond to time
points at which the observations become available. KalmanFilter
avoids many of the computations and storage requirements that would be
necessary if one were to process all the data at the end of each stage in
order to estimate the state vector. This is accomplished by using previous
computations and retaining in storage only those items essential for
processing of future observations.
The notation used here follows that of Sallas and Harville (1981). Let
(input in y using method
update) be the
vector of
observations that become available at time k. The subscript k
is used here rather than t, which is more customary in time series,
to emphasize that the model is expressed in stages
and that these stages need not
correspond to equally spaced time points. In fact, they need not correspond
to time points of any kind. The observation equation for the
state-space model is
![]()
Here,
(input in z using method
update) is an
known matrix and
is the
state vector. The
state vector
is allowed to change with time in
accordance with the state equation
![]()
starting with
.
The change in the state vector from time k to
k + 1 is explained in part by the
transition matrix
(the identity matrix
by default, or optionally using method setTransitionMatrix), which is assumed known. It is
assumed that the q-dimensional
are independently distributed multivariate normal with mean vector 0 and
variance-covariance matrix
, that the
-dimensional
are independently distributed multivariate normal with mean vector 0 and
variance-covariance matrix
, and that the
and
are independent of
each other. Here,
is the mean of
and is assumed known,
is an unknown positive scalar.
(input in
Q) and
(input in R) are
assumed known.
Denote the estimator of the realization of the state vector
given the observations
by
![]()
By definition, the mean squared error matrix for
![]()
is
![]()
At the time of the k-th invocation, we have
![]()
and
, which were computed
from the k-1-st invocation, input in b and
covb, respectively. During the k-th invocation,
KalmanFilter computes the filtered estimate
![]()
along with
. These quantities
are given by the update equations:
![]()
![]()
where
![]()
and where
![]()
Here,
(stored in getPredictionError) is the one-step-ahead
prediction error, and
is the
variance-covariance matrix for
.
is obtained from method getCovV. The "start-up values"
needed on the first invocation of KalmanFilter are
![]()
and
input via
b and covb, respectively. Computations for the
k-th invocation are completed by KalmanFilter computing
the one-step-ahead estimate
![]()
along with
given by the
prediction equations:
![]()
![]()
If both the filtered estimates and one-step-ahead estimates are needed
by the user at each time point, KalmanFilter can be used twice
for each time point-first without methods SetTransitionMatrix and
setQ to produce
![]()
and
, and second without method
update to produce
![]()
and
(Without methods
SetTransitionMatrix and setQ, the prediction equations are
skipped. Without method update, the update equations are
skipped.).
Often, one desires the estimate of the state vector more than one-step-ahead, i.e., an estimate of
![]()
is needed where
. At time j,
KalmanFilter is invoked with method update to
compute
![]()
Subsequent invocations of KalmanFilter without method
update can compute
![]()
Computations for
![]()
and
assume the
variance-covariance matrices of the errors in the observation equation and
state equation are known up to an unknown positive scalar multiplier,
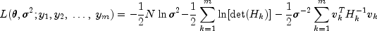
. The maximum likelihood estimate of
based on the observations
, is given by
![]()
where
![]()
N and SS are input arguments rank and
SumofSquares. Updated values are obtained from methods getRank
and getSumofSquares
If
is known, the
and
can be input as the variance-covariance
matrices exactly. The earlier discussion is then simplified by letting
.
In practice, the matrices
,
, and
are
generally not completely known. They may be known functions of an unknown
parameter vector
. In this case,
KalmanFilter can be used in conjunction with an optimization
class (see MinUnconMultiVar, JMSL Math package), to
obtain a maximum likelihood estimate of
. The
natural logarithm of the likelihood function for
differs by no more than an
additive constant from
![]()
(Harvey 1981, page 14, equation 2.21).
Here,
![]()
(input in logDeterminant, updated by getLogDeterminant) is the natural logarithm of the determinant of
V where
is the variance-covariance
matrix of the observations.
Minimization of
over all
and
produces maximum likelihood estimates. Equivalently, minimization of
where
![]()
produces maximum likelihood estimates
![]()
Minimization of
instead of
,
reduces the dimension of the minimization problem by one. The two
optimization problems are equivalent since
![]()
minimizes
for all
, consequently,
![]()
can be substituted for
in
to give
a function that differs by no more than an additive constant from
.
The earlier discussion assumed
to be nonsingular.
If
is singular, a modification for singular
distributions described by Rao (1973, pages 527-528) is used. The necessary
changes in the preceding discussion are as follows:
Maximum likelihood estimation of parameters in the Kalman filter is discussed by Sallas and Harville (1988) and Harvey (1981, pages 111-113).
| Constructor and Description |
|---|
KalmanFilter(double[] b,
double[][] covb,
int rank,
double sumOfSquaress,
double logDeterminant)
Constructor for
KalmanFilter. |
| Modifier and Type | Method and Description |
|---|---|
void |
filter()
Performs Kalman filtering and evaluates the likelihood function for
the state-space model.
|
double[][] |
getCovB()
Returns the mean squared error matrix for
b divided by sigma squared. |
double[][] |
getCovV()
Returns the variance-covariance matrix of v divided by sigma squared.
|
double |
getLogDeterminant()
Returns the natural log of the product of the nonzero eigenvalues of P
where P * sigma2 is the variance-covariance matrix
of the observations.
|
double[] |
getPredictionError()
Returns the one-step-ahead prediction error.
|
int |
getRank()
Returns the rank of the variance-covariance matrix for all the observations.
|
double[] |
getStateVector()
Returns the estimated state vector at time k + 1 given the observations
through time k.
|
double |
getSumOfSquares()
Returns the generalized sum of squares.
|
void |
resetQ()
Removes the Q matrix.
|
void |
resetTransitionMatrix()
Removes the transition matrix.
|
void |
resetUpdate()
Do not perform computation of the update equations.
|
void |
setQ(double[][] q)
Sets the Q matrix.
|
void |
setTolerance(double tolerance)
Sets the tolerance used in determining linear dependence.
|
void |
setTransitionMatrix(double[][] t)
Sets the transition matrix.
|
void |
update(double[] y,
double[][] z,
double[][] r)
Performs computation of the update equations.
|
public KalmanFilter(double[] b,
double[][] covb,
int rank,
double sumOfSquaress,
double logDeterminant)
KalmanFilter.b - A double array containing the estimated state vector.
b is the estimated state vector at time k given
the observations through time k-1.covb - A double matrix of size b.length
by b.length such that covb *
b.rank - An int scalar containing the rank of the
variance-covariance matrix for all the observations.sumOfSquaress - A double scalar containing the
generalized sum of squares.logDeterminant - A double scalar containing the natural log
of the product of the nonzero eigenvalues of P where
P * IllegalArgumentException - is thrown if the dimensions of b,
and covb are not consistent.public final void filter()
public double[][] getCovB()
b divided by sigma squared.double matrix of size b.length
by b.length such that covb *
b.public double[][] getCovV()
double matrix containing a
y.length by y.length matrix such that
covv * getPredictionError.public double getLogDeterminant()
double scalar containing the natural log
of the product of the nonzero eigenvalues of P where
P * logDeterminant is the natural log of the
determinant of P.public double[] getPredictionError()
double array of size y.length
containing the one-step-ahead prediction error.public int getRank()
int scalar containing the rank of the
variance-covariance matrix for all the observations.public double[] getStateVector()
double array containing the estimated
state vector at time k + 1 given the observations through
time k.public double getSumOfSquares()
double scalar containing the generalized
sum of squares. The estimate of sumOfSquares / rank.public void resetQ()
public void resetTransitionMatrix()
public void resetUpdate()
public void setQ(double[][] q)
q - A double matrix containing the
b.length by b.length matrix such that
q * public void setTolerance(double tolerance)
tolerance - A double scalar containing the tolerance
used in determining linear dependence.
Default: tolerance = 100.0*2.2204460492503131e-16.public void setTransitionMatrix(double[][] t)
t - A double matrix containing the
b.length by b.length transition matrix in the
state equation. Default: t = identity matrixpublic void update(double[] y,
double[][] z,
double[][] r)
y - A double array containing the observations.z - A double matrix containing the
y.length by b.length matrix relating the observations
to the state vector in the observation equation.r - A double matrix containing the
y.length by y.length matrix such that
r * r are referenced.Copyright © 1970-2015 Rogue Wave Software
Built March 24 2015.