public class LinearRegression extends Object implements Serializable, Cloneable
hasIntercept is true, the multiple linear
regression model is ![]()
hasIntercept is
false, LinearRegression computes estimates of the regression
coefficients by minimizing the sum of squares of the deviations of the
observed response
from the fitted response
![]()
for the observations. This minimum sum of squares (the error sum of squares) is in the ANOVA output and denoted by
![]()
In addition, the total sum of squares is output in the ANOVA table. For
the case, hasIntercept is true; the total sum of squares is the
sum of squares of the deviations of
from its mean
![]()
--the so-called corrected total sum of squares; it is denoted by
![]()
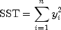
For the case hasIntercept is false, the total
sum of squares is the sum of squares of
--the
so-called uncorrected total sum of squares; it is denoted by
![]()
See Draper and Smith (1981) for a good general treatment of the multiple linear regression model, its analysis, and many examples.
In order to compute a least-squares solution, LinearRegression
performs an orthogonal reduction of the matrix of regressors to
upper triangular form. Givens rotations are used to reduce the matrix. This
method has the advantage that the loss of accuracy resulting from forming
the crossproduct matrix used in the normal equations is avoided, while not
requiring the storage of the full matrix of regressors. The method is
described by Lawson and Hanson, pages 207-212.
From a general linear model fitted using the
's
as the weights, inner class LinearRegression.CaseStatistics can also
compute predicted values, confidence intervals, and diagnostics for
detecting outliers and cases that greatly influence the fitted regression.
Let
be a column vector containing elements of the
-th row of
. Let
. The leverage is defined as
![]()
![]()
Let
denote the residual
![]()
![]()
The
th jackknife residual or deleted residual
involves the difference between
and its predicted
value based on the data set in which the
th case is
deleted. This difference equals
. The
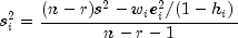
jackknife residual is obtained by standardizing this difference. The
residual mean square for the regression in which the
th case is deleted is
![]()
![]()
Cook's distance for the
th case is a measure of how
much an individual case affects the estimated regression coefficients. It is
given by
![]()
DFFITS, like Cook's distance, is also a measure of influence. For the
th case, DFFITS is computed by the formula
![]()
![]()
Often predicted values and confidence intervals are desired for
combinations of settings of the effect variables not used in computing the
regression fit. This can be accomplished using a single data matrix by
including these settings of the variables as part of the data matrix and by
setting the response equal to Double.NaN.
LinearRegression will omit the case when performing the fit and a
predicted value and confidence interval for the missing response will be
computed from the given settings of the effect variables.
| Modifier and Type | Class and Description |
|---|---|
class |
LinearRegression.CaseStatistics
Inner Class
CaseStatistics allows for the computation of
predicted values, confidence intervals, and diagnostics for detecting
outliers and cases that greatly influence the fitted regression. |
class |
LinearRegression.CoefficientTTests
Contains statistics related to the regression coefficients.
|
| Constructor and Description |
|---|
LinearRegression(int nVariables,
boolean hasIntercept)
Constructs a new linear regression object.
|
| Modifier and Type | Method and Description |
|---|---|
ANOVA |
getANOVA()
Get an analysis of variance table and related statistics.
|
LinearRegression.CaseStatistics |
getCaseStatistics(double[] x,
double y)
Returns the case statistics for an observation.
|
LinearRegression.CaseStatistics |
getCaseStatistics(double[] x,
double y,
double w)
Returns the case statistics for an observation and a weight.
|
LinearRegression.CaseStatistics |
getCaseStatistics(double[] x,
double y,
double w,
int pred)
Returns the case statistics for an observation, weight, and
future response count for the desired prediction interval.
|
LinearRegression.CaseStatistics |
getCaseStatistics(double[] x,
double y,
int pred)
Returns the case statistics for an observation and future
response count for the desired prediction interval.
|
double[] |
getCoefficients()
Returns the regression coefficients.
|
LinearRegression.CoefficientTTests |
getCoefficientTTests()
Returns statistics relating to the regression coefficients.
|
double[][] |
getR()
Returns a copy of the R matrix.
|
int |
getRank()
Returns the rank of the matrix.
|
void |
update(double[][] x,
double[] y)
Updates the regression object with a new set of observations.
|
void |
update(double[][] x,
double[] y,
double[] w)
Updates the regression object with a new set of observations and
weights.
|
void |
update(double[] x,
double y)
Updates the regression object with a new observation.
|
void |
update(double[] x,
double y,
double w)
Updates the regression object with a new observation and weight.
|
public LinearRegression(int nVariables,
boolean hasIntercept)
nVariables - int number of variables in the
regressionhasIntercept - boolean which indicates whether or
not an intercept is in this regression modelpublic ANOVA getANOVA()
ANOVA table and related statisticspublic LinearRegression.CaseStatistics getCaseStatistics(double[] x, double y)
x - a double array containing the independent
(explanatory) variables. Its length must be equal to the
number of variables set in the LinearRegression constructor.y - a double representing the dependent (response)
variablepublic LinearRegression.CaseStatistics getCaseStatistics(double[] x, double y, double w)
x - a double array containing the independent
(explanatory) variables. Its length must be equal to the
number of variables set in the constructor.y - a double representing the dependent (response)
variablew - a double representing the weightpublic LinearRegression.CaseStatistics getCaseStatistics(double[] x, double y, double w, int pred)
x - a double array containing the independent
(explanatory) variables. Its length must be equal to the
number of variables set in the constructor.y - a double representing the dependent (response)
variablew - a double representing the weightpred - an int representing the number of future
responses for which the prediction interval is desired on
the average of the future responsespublic LinearRegression.CaseStatistics getCaseStatistics(double[] x, double y, int pred)
x - a double array containing the independent
(explanatory) variables. Its length must be equal to the
number of variables set in the constructor.y - a double representing the dependent (response)
variablepred - an int representing the number of future
responses for which the prediction interval is desired on
the average of the future responses.public double[] getCoefficients()
double array containing the regression
coefficients. If hasIntercept is false
its length is equal to the number of variables. If
hasIntercept is true then its length is the
number of variables plus one and the 0-th entry is the value of
the intercept. If the model is not full rank, the regression
coefficients are not uniquely determined. In this case, a warning
is issued and a solution with all linearly dependent regressors
set to zero is returned.Warningpublic LinearRegression.CoefficientTTests getCoefficientTTests()
public double[][] getR()
double matrix containing a copy of the R
matrixpublic int getRank()
int rank of the matrixpublic void update(double[][] x,
double[] y)
x - a double matrix containing the independent
(explanatory) variables. The number of rows in x
must equal the length of y and the number of
columns must be equal to the number of variables set in the
constructor.y - a double array containing the dependent
(response) variables.public void update(double[][] x,
double[] y,
double[] w)
x - a double matrix containing the independent
(explanatory) variables. The number of rows in x
must equal the length of y and the number of
columns must be equal to the number of variables set in the
constructor.y - a double array containing the dependent
(response) variables.w - a double array representing the weightspublic void update(double[] x,
double y)
x - a double array containing the independent
(explanatory) variables. Its length must be equal to the
number of variables set in the constructor.y - a double representing the dependent (response)
variablepublic void update(double[] x,
double y,
double w)
x - a double array containing the independent
(explanatory) variables. Its length must be equal to the
number of variables set in the constructor.y - a double representing the dependent (response)
variablew - a double representing the weightCopyright © 1970-2015 Rogue Wave Software
Built March 24 2015.