public class Random extends Random implements Serializable, Cloneable
The non-uniform distributions are generated from a uniform distribution. By
default, this class uses the uniform distribution generated by the base class
Random. If the multiplier is set in this class then a
multiplicative congruential method is used. The form of the generator is
![]()
setMultiplier. Evidence suggests that the
performance of 950706376 is best among these three choices (Fishman and Moore
1982).
Alternatively, one can select a 32-bit or 64-bit Mersenne Twister generator
by first instantiating MersenneTwister or MersenneTwister64.
These generators have a period of
and a
623-dimensional equidistribution property. See Matsumoto et al. 1998 for
details.
The generation of uniform (0,1) numbers is done by the method
nextDouble.
Nonuniform random numbers are generated using a variety of transformation procedures. All of the transformations used are exact (mathematically). The most straightforward transformation is the invers e CDF technique, but it is often less efficient than others involving acceptance/rejection and mixtures. See Kennedy and Gentle(1980) for discussion of these and other techniques.
Many of the nonuniform generators use different algorithms depending on the values of the parameters of the distributions. This is particularly true of the generators for discrete distributions. Schmeiser (1983) gives an overview of techniques for generating deviates from discrete distributions.
Extensive empirical tests of some of the uniform random number generators
available in the Random class are reported by Fishman and Moore
(1982 and 1986). Results of tests on the generator using the multiplier 16807
are reported by Learmonth and Lewis (1973). If the user wishes to perform
additional tests, the routines in Chapter 17, Tests of Goodness of
Fit, may be of use. Often in Monte Carlo applications, it is appropriate
to construct an ad hoc test that is sensitive to departures that are
important in the given application. For example, in using Monte Carlo methods
to evaluate a one-dimensional integral, autocorrelations of order one may not
be harmful, but they may be disastrous in evaluating a two-dimensional
integral. Although generally the routines in this chapter for generating
random deviates from nonuniform distributions use exact methods, and, hence,
their quality depends almost solely on the quality of the underlying uniform
generator, it is often advisable to employ an ad hoc test of goodness of fit
for the transformations that are to be applied to the deviates from the
nonuniform generator.
Three methods are associated with copulas. A copula is a multivariate cumulative probability distribution (CDF) whose arguments are random variables uniformly distributed on the interval [0,1] corresponding to the probabilities (variates) associated with arbitrarily distributed marginal deviates. The copula structure allows the multivariate CDF to be partitioned into the copula, which has associated with it information characterizing the dependence among the marginal variables, and the set of separate marginal deviates, each of which has its own distribution structure.
Two methods, nextGaussianCopula and
nextStudentsTCopula, allow the user to specify a correlation
structure (in the form of a Cholesky matrix) which can be used to imprint
correlation information on a sequence of multivariate random vectors. Each
call to one of these methods returns a random vector whose elements
(variates) are each uniformly distributed on the interval [0,1] and
correlated according to a user-specified Cholesky matrix. These variate
vector sequences may then be inverted to marginal deviate sequences whose
distributions and imprinted correlations are user-specified.
Method nextGaussianCopula generates a random Gaussian copula
sequence by inverting uniform [0,1] random numbers to N(0,1) deviates
vectors, imprinting each vector with the correlation information by
multiplying it with the Cholesky matrix, and then using the N(0,1) CDF to map
the imprinted deviates back to uniform [0,1] variates.
Method nextStudentsTCopula inverts a vector of uniform [0, 1]
random numbers to a N(0,1) deviate vector, imprints the vector with
correlation information by multiplying it with the Cholesky matrix,
transforms the imprinted N(0,1) vector to an imprinted Student's t
vector (where each element is Student's t distributed with
degrees of freedom) by dividing each element of the
imprinted N(0,1) vector by
, where s is a random deviate taken from a chi-squared
distribution with
degrees of freedom, and finally maps each element of
the resulting imprinted Student's t vector back to a uniform [0, 1]
distributed variate using the Student's t CDF.
The third copula method, canonicalCorrelation, extracts a
correlation matrix from a sequence of multivariate deviate vectors whose
component marginals are arbitrarily distributed. This is accomplished by
first extracting the empirical CDF from each of the marginal deviates and
then using this CDF to map the deviates to uniform [0,1] variates which are
then inverted to Normal (0,1) deviates. Each element
of the correlation matrix can then be extracted
by averaging the products
of deviates
i
and j over the t-indexed sequence. The utility of method
canonicalCorrelation is that because the correlation matrix is
derived from N(0,1) deviates, the correlation is unbiased, i.e. undistorted
by the arbitrary marginal distribution structures of the original deviate
vector sequences. This is important in such financial applications as
portfolio optimization, where correlation is used to estimate and minimize
risk.
The use of these routines is illustrated with RandomEx2.java, which first
uses method nextGaussianCopula to create a correlation imprinted
sequence of random deviate vectors and then uses method
canonicalCorrelation to extract the correlation matrix from the
imprinted sequence of vectors.
| Modifier and Type | Class and Description |
|---|---|
static interface |
Random.BaseGenerator
Base pseudorandom number.
|
| Constructor and Description |
|---|
Random()
Constructor for the Random number generator class.
|
Random(long seed)
Constructor for the Random number generator class with supplied seed.
|
Random(Random.BaseGenerator baseGenerator)
Constructor for the Random number generator class with an alternate basic
number generator.
|
| Modifier and Type | Method and Description |
|---|---|
double[][] |
canonicalCorrelation(double[][] deviate)
Method
canonicalCorrelation generates a canonical
correlation matrix from an arbitrarily distributed multivariate deviate
sequence with nvar deviate variables, nseq
steps in the sequence, and a Gaussian Copula dependence structure. |
protected int |
next(int bits)
Generates the next pseudorandom number.
|
double |
nextBeta(double p,
double q)
Generate a pseudorandom number from a beta distribution.
|
int |
nextBinomial(int n,
double p)
Generate a pseudorandom number from a binomial distribution.
|
double |
nextCauchy()
Generates a pseudorandom number from a Cauchy distribution.
|
double |
nextChiSquared(double df)
Generates a pseudorandom number from a Chi-squared distribution.
|
int |
nextDiscrete(int imin,
double[] probabilities)
Generate a pseudorandom number from a general discrete distribution using
an alias method.
|
double |
nextExponential()
Generates a pseudorandom number from a standard exponential distribution.
|
double |
nextExponentialMix(double theta1,
double theta2,
double p)
Generate a pseudorandom number from a mixture of two exponential
distributions.
|
double |
nextExtremeValue(double mu,
double beta)
Generate a pseudorandom number from an extreme value distribution.
|
double |
nextF(double dfn,
double dfd)
Generate a pseudorandom number from the F distribution.
|
double |
nextGamma(double a)
Generates a pseudorandom number from a standard gamma distribution.
|
double[] |
nextGaussianCopula(Cholesky chol)
Generate pseudorandom numbers from a Gaussian Copula distribution.
|
int |
nextGeometric(double p)
Generate a pseudorandom number from a geometric distribution.
|
int |
nextHypergeometric(int n,
int m,
int l)
Generate a pseudorandom number from a hypergeometric distribution.
|
int |
nextLogarithmic(double a)
Generate a pseudorandom number from a logarithmic distribution.
|
double |
nextLogNormal(double mean,
double stdev)
Generate a pseudorandom number from a lognormal distribution.
|
double[] |
nextMultivariateNormal(Cholesky matrix)
Generate pseudorandom numbers from a multivariate normal distribution.
|
int |
nextNegativeBinomial(double rk,
double p)
Generate a pseudorandom number from a negative binomial distribution.
|
double |
nextNormal()
Generate a pseudorandom number from a standard normal distribution using
an inverse CDF method.
|
int |
nextPoisson(double theta)
Generate a pseudorandom number from a Poisson distribution.
|
double |
nextRayleigh(double alpha)
Generate a pseudorandom number from a Rayleigh distribution.
|
double |
nextStudentsT(double df)
Generate a pseudorandom number from a Student's t distribution.
|
double[] |
nextStudentsTCopula(double df,
Cholesky chol)
Generate pseudorandom numbers from a Student's t Copula distribution.
|
double |
nextTriangular()
Generate a pseudorandom number from a triangular distribution on the
interval (0,1).
|
int |
nextUniformDiscrete(int k)
Generate a pseudorandom number from a discrete uniform distribution.
|
double |
nextVonMises(double c)
Generate a pseudorandom number from a von Mises distribution.
|
double |
nextWeibull(double a)
Generate a pseudorandom number from a Weibull distribution.
|
double |
nextZigguratNormalAR()
Generates pseudorandom numbers using the Ziggurat method.
|
void |
setMultiplier(int multiplier)
Sets the multiplier for a linear congruential random number generator.
|
void |
setSeed(long seed)
Sets the seed.
|
void |
skip(int n)
Resets the seed to skip ahead in the base linear congruential generator.
|
nextBoolean, nextBytes, nextDouble, nextFloat, nextGaussian, nextInt, nextInt, nextLongpublic Random()
public Random(long seed)
seed - a long which represents the random number
generator seed in the range of -2,147,483,647 to +2,147,483,647public Random(Random.BaseGenerator baseGenerator)
baseGenerator - is used to override the method next.public double[][] canonicalCorrelation(double[][] deviate)
Method canonicalCorrelation generates a canonical
correlation matrix from an arbitrarily distributed multivariate deviate
sequence with nvar deviate variables, nseq
steps in the sequence, and a Gaussian Copula dependence structure.
Method canonicalCorrelation first maps each of the
j=1..nvar input deviate sequences
deviate[k=1..nseq][j] into a corresponding sequence of
variates, say variate[k][j] (where variates are values of
the empirical cumulative probability function,
, defined as the probability that random
deviate variable
, and where
nseq = deviate.length and
nvar = deviate[0].length). The variate matrix
variate[k][j] is then mapped into Normal(0,1) distributed
deviates
using the method
Cdf.inverseNormal(variate[k][j]) and then the standard
covariance estimator
![]()
correlation = canonicalCorrelation(deviate), where
correlation[i][j] and
nseq.
If a multivariate distribution has Gaussian marginal distributions, then the standard "empirical" correlation matrix given above is "unbiased", i.e. an accurate measure of dependence among the variables. But when the marginal distributions depart significantly from Gaussian, i.e. are skewed or flattened, then the empirical correlation may become biased. One way to remove such bias from dependence measures is to map the non-Gaussian-distributed marginal deviates to Gaussian N(0,1) deviates (by mapping the non-Gaussian marginal deviates to empirically derived marginal CDF variate values, then inverting the variates to N(0,1) deviates as described above), and calculating the standard empirical correlation matrix from these N(0,1) deviates as in the equation above. The resulting "(Gaussian) canonical correlation" matrix thereby avoids the bias that would occur if the empirical correlation matrix were extracted from the non-Gaussian marginal distributions directly.
The canonical correlation matrix may be of value in such applications as Markowitz porfolio optimization, where an unbiased measure of dependence is required to evaluate portfolio risk, defined in terms of the portfolio variance which is in turn defined in terms of the correlation among the component portfolio instruments.
The utility of the canonical correlation derives from the observation that a "copula" multivariate distribution with uniformly-distributed deviates (corresponding to the CDF probabilities associated with the marginal deviates) may be mapped to arbitrarily distributed marginals, so that an unbiased dependence estimator derived from one set of marginals (N(0,1) distributed marginals) can be used to represent the dependence associated with arbitrarily-distributed marginals. The "Gaussian Copula" (whose variate arguments are derived from N(0,1) marginal deviates) is a particularly useful structure for representing multivariate dependence.
This is demonstrated in Example 2 where method
Random.nextGaussianCopula(CholeskyMtrx) (where
CholeskyMtrx is a Cholesky object derived from a
user-specified covariance matrix) is used to imprint correlation
information on otherwise arbitrarily distributed and independent random
sequences. Method Random.canonicalCorrelation is then used
to extract an unbiased correlation matrix from these imprinted deviate
sequences.
deviate - is the double nseq by nvar array
of input deviate values.protected int next(int bits)
next method is used. If the
multiplier is set then the multiplicative congruential
method is used. Otherwise, super.next(bits) is used.public double nextBeta(double p,
double q)
Method nextBeta generates pseudorandom numbers from a beta
distribution with parameters p and
q, both of which must be positive. The probability density
function is
![]()
where
is the gamma function.
The algorithm used depends on the values of p and q. Except for the trivial cases of p = 1 or q = 1, in which the inverse CDF method is used, all of the methods use acceptance/rejection. If p and q are both less than 1, the method of Johnk (1964) is used; if either p or q is less than 1 and the other is greater than 1, the method of Atkinson (1979) is used; if both p and q are greater than 1, algorithm BB of Cheng (1978), which requires very little setup time, is used.
The value returned is less than 1.0 and greater than
, where
is the smallest positive number such that
is less than 1.0.
p - a double, the first beta distribution parameter, p
q - a double, the second beta distribution parameter, q
double, a pseudorandom number from a beta
distributionpublic int nextBinomial(int n,
double p)
nextBinomial generates pseudorandom numbers from a binomial
distribution with parameters n and
p. n and p
must be positive, and p must be less than 1. The probability
function (with
n = n and p = p) is
![]()
for
.
The algorithm used depends on the values of n
and p. If
or if
p is less than a machine epsilon, the inverse CDF technique is
used; otherwise, the BTPE algorithm of Kachitvichyanukul and Schmeiser
(see Kachitvichyanukul 1982) is used. This is an acceptance/rejection
method using a composition of four regions. (TPE equals Triangle,
Parallelogram, Exponential, left and right.)
n - an int, the number of Bernoulli trials.p - a double, the probability of success on each trial,
int, the pseudorandom number from a binomial
distribution.public double nextCauchy()
![]()
Use of the inverse CDF technique would yield a Cauchy deviate from a
uniform (0, 1) deviate, u, as
.
Rather than evaluating a tangent directly, however,
nextCauchy generates two uniform (-1, 1) deviates,
and
. These values can
be thought of as sine and cosine values. If
![]()
is less than or equal to 1, then
is delivered as the Cauchy deviate;
otherwise,
and
are
rejected and two new uniform (-1, 1) deviates are generated. This method
is also equivalent to taking the ratio of two independent normal
deviates.
Deviates from the Cauchy distribution with median t and first quartile t - s, that is, with density
![]()
can be obtained by scaling the output from nextCauchy. To do
this, first scale the output from nextCauchy by
S and then add T to the result.
double, a pseudorandom number from a Cauchy
distributionpublic double nextChiSquared(double df)
nextChiSquared generates pseudorandom numbers from a
chi-squared distribution with df degrees of freedom. If
df is an even integer less than 17, the chi-squared deviate
r is generated as
![]()
where
and the
are independent random deviates from a uniform
(0, 1) distribution. If df is an odd integer less than 17,
the chi-squared deviate is generated in the same way, except the square
of a normal deviate is added to the expression above. If df
is greater than 16 or is not an integer, and if it is not too large to
cause overflow in the gamma random number generator, the chi-squared
deviate is generated as a special case of a gamma deviate, using
nextGamma. If overflow would occur in
nextGamma, the chi-squared deviate is generated in the
manner described above, using the logarithm of the product of uniforms,
but scaling the quantities to prevent underflow and overflow.
df - a double which specifies the number of degrees of
freedom. It must be positive.double, a pseudorandom number from a Chi-squared
distribution.public int nextDiscrete(int imin,
double[] probabilities)
Method nextDiscrete generates a pseudorandom number from a
discrete distribution with probability function given in the vector
probabilities; that is
![]()
for
, where
probabilities[j-1],
imin,
nmass and probabilities.length is the number of
mass points.
The algorithm is the alias method, due to Walker (1974), with modifications suggested by Kronmal and Peterson (1979). On the first call with a set of probabilities, the method performs an initial setup after which the number generation phase is very fast. To increase efficiency, the code skips the setup phase on subsequent calls with the same inputs.
imin - an int which specifies the smallest value the
random deviate can assume. This is the value corresponding to the
probability in probabilities[0].probabilities - a double array containing the
probabilities associated with the individual mass points. The elements of
probabilities must be nonnegative and must sum to 1.0. The
length of probabilities muse be greater than 1.int which contains the random discrete deviate.public double nextExponential()
nextExponential uses an antithetic inverse CDF technique;
that is, a uniform random deviate U is generated and the inverse
of the exponential cumulative distribution function is evaluated at
1.0 - U to yield the exponential deviate.
Deviates from the exponential distribution with mean
can be generated by using
nextExponential and then multiplying the result by
.
double which specifies a pseudorandom number from
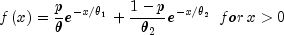
a standard exponential distributionpublic double nextExponentialMix(double theta1,
double theta2,
double p)
![]()
where
,
, and
.
In the case of a convex mixture, that is, the case
, the mixing parameter p is interpretable as a
probability; and nextExponentialMix with probability
p generates an exponential deviate with mean
, and with probability
1 - p generates an exponential with mean
. When p is greater than 1, but less
than
, then either an
exponential deviate with mean
or the sum of two exponentials with means
and
is generated. The probabilities are
and
1 - q, respectively, for the single exponential and the sum of the
two exponentials.
theta1 - a double which specifies the mean of the
exponential distribution that has the larger mean.theta2 - a double which specifies the mean of the
exponential distribution that has the smaller mean. theta2
must be positive and less than or equal to theta1.p - a double which specifies the mixing parameter. It
must satisfy double, a pseudorandom number from a mixture of
the two exponential distributions.public double nextExtremeValue(double mu,
double beta)
mu - a double scalar value representing the location
parameter.beta - a double scalar value representing the scale
parameter.double pseudorandom number from an extreme value
distributionpublic double nextF(double dfn,
double dfd)
dfn - a double, the numerator degrees of freedom. It
must be positive.dfd - a double, the denominator degrees of freedom. It
must be positive.double, a pseudorandom number from an F
distributionpublic double nextGamma(double a)
Method nextGamma generates pseudorandom numbers from a gamma
distribution with shape parameter a. The probability density
function is
![]()
Various computational algorithms are used depending on the value of the
shape parameter a. For the special case of
a = 0.5, squared and halved normal deviates are used; and for the
special case of a = 1.0, exponential deviates (from method
nextExponential) are used. Otherwise, if a is less
than 1.0, an acceptance-rejection method due to Ahrens, described in
Ahrens and Dieter (1974), is used; if a is greater than 1.0, a
ten-region rejection procedure developed by Schmeiser and Lal (1980) is
used.
The Erlang distribution is a standard gamma distribution with the shape
parameter having a value equal to a positive integer; hence,
nextGamma generates pseudorandom deviates from an Erlang
distribution with no modifications required.
a - a double, the shape parameter of the gamma
distribution. It must be positive.double, a pseudorandom number from a standard
gamma distributionpublic double[] nextGaussianCopula(Cholesky chol)
nextGaussianCopula generates pseudorandom numbers from a
multivariate Gaussian Copula distribution which are uniformly distributed
on the interval (0,1) representing the probabilities associated with
N(0,1) deviates imprinted with correlation information from input
Cholesky object chol. Cholesky matrix R is
defined as the "square root" of a user-defined correlation matrix, that
is R is a lower triangular matrix such that R
times the transpose of R is the correlation matrix.
First, a length k vector of independent random normal deviates
with mean 0 and variance 1 is generated, and then this deviate vector is
pre-multiplied by Cholesky matrix R. Finally, the
Cholesky-imprinted random N(0,1) deviates are mapped to output
probabilities using the N(0,1) cumulative distribution function
(CDF).
Random deviates from arbitrary marginal distributions which are imprinted
with the correlation information contained in Cholesky matrix
R can then be generated by inverting the output
probabilities using user-specified inverse CDF functions.
chol - is the Cholesky object containing the Cholesky
factorization of the correlation matrix of order k.double array which contains the pseudorandom
numbers from a multivariate Gaussian Copula distribution.public int nextGeometric(double p)
nextGeometric generates pseudorandom numbers from a
geometric distribution with parameter p, where
P =p is the probability of getting a success on any trial. A
geometric deviate can be interpreted as the number of trials until the
first success (including the trial in which the first success is
obtained). The probability function is
![]()
for
and
![]()
The geometric distribution as defined above has mean 1/P.
The i-th geometric deviate is generated as the smallest integer
not less than
, where the
are independent uniform (0, 1) random numbers
(see Knuth, 1981).
The geometric distribution is often defined on 0, 1, 2, ..., with mean (1 - P)/P. Such deviates can be obtained by subtracting 1 from each element returned value.
p - a double, the probability of success on each trial,
int, a pseudorandom number from a geometric
distribution.public int nextHypergeometric(int n,
int m,
int l)
Method nextHypergeometric generates pseudorandom numbers
from a hypergeometric distribution with parameters n,
m, and l. The hypergeometric random variable x can
be thought of as the number of items of a given type in a random sample
of size n
that is drawn without replacement from a population of size
l containing m items of this type. The probability function
is
![]()
for
.
If the hypergeometric probability function with parameters
n, m, and
l evaluated at n - l + m
(or at 0 if this is negative) is greater than the machine epsilon, and
less than 1.0 minus the machine epsilon, then
nextHypergeometric uses the inverse CDF technique. The
method recursively computes the hypergeometric
probabilities, starting at
and using the ratio f (x = x + 1)/f(x = x) (see Fishman 1978, page
457).
If the hypergeometric probability function is too small or
too close to 1.0, then nextHypergeometric generates integer
deviates uniformly in the interval
, for
; and at the I-th step, if
the generated deviate is less than or equal to the number of special
items remaining in the lot, the occurrence of one special item is tallied
and the number of remaining special items is decreased by one. This
process continues until the sample size or the number of special items in
the lot is reached, whichever comes first. This method can be much slower
than the inverse CDF technique. The timing depends on n. If
n is more than half of l
(which in practical examples is rarely the case), the user may wish to
modify the problem, replacing n by
l - n, and to consider the deviates to be the number of special
items not included in the sample.
n - an int which specifies the number of items in the
sample, n m - an int which specifies the number of special items
in the population, or lot, m l - an int which specifies the number of items in the
lot, l int which specifies the number of special items
in a sample of size n drawn without replacement from a population of size
l that contains m such special items.public int nextLogarithmic(double a)
Method nextLogarithmic generates pseudorandom numbers from a
logarithmic distribution with parameter a. The probability
function is
![]()
for
, and
.
The methods used are described by Kemp (1981) and depend on the value of a. If a is less than 0.95, Kemp's algorithm LS, which is a "chop-down" variant of an inverse CDF technique, is used. Otherwise, Kemp's algorithm LK, which gives special treatment to the highly probable values of 1 and 2, is used.
a - a double which specifies the parameter of the
logarithmic distribution, int, a pseudorandom number from a logarithmic
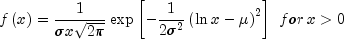
distribution.public double nextLogNormal(double mean,
double stdev)
Method nextLogNormal generates pseudorandom numbers from a
lognormal distribution with parameters mean and
stdev. The scale parameter in the underlying normal
distribution, stdev, must be positive. The method is to
generate normal deviates with mean mean and standard
deviation stdev and then to exponentiate the normal
deviates.
With
and
, the probability density function for the lognormal
distribution is
![]()
The mean and variance of the lognormal distribution are
and
,
respectively.
mean - a double which specifies the mean of the
underlying normal distributionstdev - a double which specifies the standard deviation
of the underlying normal distribution. It must be positive.double, a pseudorandom number from a lognormal
distributionpublic double[] nextMultivariateNormal(Cholesky matrix)
nextMultivariateNormal generates pseudorandom numbers from a
multivariate normal distribution with mean vector consisting of all
zeroes and variance-covariance matrix whose Cholesky factor (or "square
root") is matrix; that is, matrix is a lower
triangular matrix such that matrix times the transpose of
matrix is the variance-covariance matrix. First, independent
random normal deviates with mean 0 and variance 1 are generated, and then
the matrix containing these deviates is pre-multiplied by
matrix.
Deviates from a multivariate normal distribution with means other than
zero can be generated by using nextMultivariateNormal and
then by adding the means to the deviates.
matrix - is the Cholesky factorization of the
variance-covariance matrix of order k.double array which contains the pseudorandom
numbers from a multivariate normal distributionpublic int nextNegativeBinomial(double rk,
double p)
Method nextNegativeBinomial generates pseudorandom numbers
from a negative binomial distribution with parameters
and
.
and
must be
positive and p must be less than 1. The probability function with
(
and
) is
![]()
for
.
If r is an integer, the distribution is often called the Pascal
distribution and can be thought of as modeling the length of a sequence
of Bernoulli trials until r
successes are obtained, where p is the probability of getting a
success on any trial. In this form, the random variable takes values
r, r + 1,
and can be obtained from the negative
binomial random variable defined above by adding r
to the negative binomial variable. This latter form is also equivalent to
the sum of r geometric random variables defined as taking values
.
If rp/(1 - p) is less than 100 and
is greater than the machine epsilon, nextNegativeBinomial
uses the inverse CDF technique; otherwise, for each negative binomial
deviate, nextNegativeBinomial generates a gamma (r, p/(1
- p)) deviate
y and then generates a Poisson deviate with parameter
y.
rk - a double which specifies the negative binomial
parameter, rk p - a double which specifies the probability of success
on each trial. It must be greater than machine precision and less than
one.int which specifies the pseudorandom number from
a negative binomial distribution. If rk is an integer, the deviate can be
thought of as the number of failures in a sequence of Bernoulli trials
before rk successes occur.public double nextNormal()
inverseNormal. This method is
slower than the acceptance/rejection technique used in the
nextNormalAR to generate standard normal deviates. Deviates
from the normal distribution with mean nextNormal. To do this first scale the output of
nextNormal by double which represents a pseudorandom number from
a standard normal distributionpublic int nextPoisson(double theta)
Method nextPoisson generates pseudorandom numbers from a
Poisson distribution with parameter theta.
theta, which is the mean of the Poisson random variable,
must be positive. The probability function (with
) is
![]()
for ![]()
If theta is less than 15, nextPoisson uses an
inverse CDF method; otherwise the PTPE method of Schmeiser
and Kachitvichyanukul (1981) (see also Schmeiser 1983) is used.
The PTPE method uses a composition of four regions, a
triangle, a parallelogram, and two negative exponentials. In each region
except the triangle, acceptance/rejection is used. The execution time of
the method is essentially insensitive to the mean of the Poisson.
theta - a double which specifies the mean of the
Poisson distribution, theta int, a pseudorandom number from a Poisson
distributionpublic double nextRayleigh(double alpha)
Method nextRayleigh generates pseudorandom numbers from a
Rayleigh distribution with scale parameter alpha.
alpha - a double which specifies the scale parameter of
the Rayleigh distributiondouble, a pseudorandom number from a Rayleigh
distributionpublic double nextStudentsT(double df)
nextStudentsT generates pseudo-random numbers from a
Student's t distribution with df degrees of freedom,
using a method suggested by Kinderman, Monahan, and Ramage (1977). The
method ("TMX" in the reference) involves a representation of the t
density as the sum of a triangular density over (-2, 2) and the
difference of this and the t density. The mixing probabilities
depend on the degrees of freedom of the t
distribution. If the triangular density is chosen, the variate is
generated as the sum of two uniforms; otherwise, an acceptance/rejection
method is used to generate a variate from the difference density.
For degrees of freedom less than 100, nextStudentsT requires
approximately twice the execution time as nextNormalAR,
which generates pseudorandom normal deviates. The execution time of
nextStudentsT increases very slowly as the degrees of
freedom increase. Since for very large degrees of freedom the normal
distribution and the t
distribution are very similar, the user may find that the difference in
the normal and the t does not warrant the additional generation
time required to use nextStudentsT instead of
nextNormalAR.
df - a double which specifies the number of degrees of
freedom. It must be positive.double, a pseudorandom number from a Student's t
distributionpublic double[] nextStudentsTCopula(double df,
Cholesky chol)
nextStudentsTCopula generates pseudorandom numbers from a
multivariate Student's t Copula distribution which are uniformly
distributed on the interval (0,1) representing the probabilities
associated with Student's t deviates with df degrees
of freedom imprinted with correlation information from the input Cholesky
object chol. Cholesky matrix R is defined as
the "square root" of a user-defined correlation matrix, i.e.
R is a lower triangular matrix such that R
times the transpose of R is the correlation matrix. First, a
length k vector of independent random normal deviates with mean 0
and variance 1 is generated, and then this deviate vector is
pre-multiplied by Cholesky matrix R. Each of the k
elements of the resulting vector of Cholesky-imprinted random deviates is
then divided by
, where
= df and s is a random
deviate taken from a chi-squared distribution with df
degrees of freedom. Each element of the Cholesky-imprinted N(0,1) vector
is a linear combination of normally distributed random numbers and is
therefore itself normal, and the division of each element by
therefore insures that each element of the resulting vector
is Student's t distributed. Finally each element of the
Cholesky-imprinted Student's t vector is mapped to an output
probability using the Student's t cumulative distribution function
(CDF) with df degrees of freedom.
Random deviates from arbitrary marginal distributions which are imprinted
with the correlation information contained in Cholesky matrix
R can then be generated by inverting the output
probabilities using user-specified inverse CDF functions.
df - a double which specifies the degrees of freedom
parameter.chol - the Cholesky object containing the Cholesky
factorization of the correlation matrix of order
k.double array which contains the pseudorandom
numbers from a multivariate Students t Copula distribution with
df degrees of freedom.public double nextTriangular()
nextTriangular uses an
inverse CDF technique.double, a pseudorandom number from a triangular
distribution on the interval (0,1)public int nextUniformDiscrete(int k)
nextUniformDiscrete generates pseudorandom numbers from a
discrete uniform distribution with parameter k. The integers
occur with equal probability. A random integer is generated by
multiplying
k by a uniform (0,1) random number, adding 1.0, and truncating the
result to an integer. This, of course, is equivalent to sampling with
replacement from a finite population of size k.
k - Parameter of the discrete uniform distribution. The integers
int, a pseudorandom number from a discrete
uniform distribution.public double nextVonMises(double c)
Method nextVonMises generates pseudorandom numbers from a
von Mises distribution with parameter c, which must be positive.
With c = C, the probability density function is
![]()
where
is the modified Bessel function of the
first kind of order 0. The probability density equals 0 outside the
interval
.
The algorithm is an acceptance/rejection method using a wrapped Cauchy distribution as the majorizing distribution. It is due to Best and Fisher (1979).
c - a double which specifies the parameter of the von
Mises distribution, double, a pseudorandom number from a von Mises
distributionpublic double nextWeibull(double a)
Method nextWeibull generates pseudorandom numbers from a
Weibull distribution with shape parameter a. The probability
density function is
![]()
nextWeibull uses an antithetic inverse CDF technique to
generate a Weibull variate; that is, a uniform random deviate
U is generated and the inverse of the Weibull cumulative
distribution function is evaluated at 1.0 - u
to yield the Weibull deviate.
Deviates from the two-parameter Weibull distribution, with shape
parameter a and scale parameter b, can be generated by
using nextWeibull and then multiplying the result by
b.
The Rayleigh distribution with probability density function,
![]()
is the same as a Weibull distribution with shape parameter a equal to 2 and scale parameter b equal to
.
![]()
hence, nextWeibull and simple multiplication can be used to
generate Rayleigh deviates.
a - a double which specifies the shape parameter of the
Weibull distribution, a double, a pseudorandom number from a Weibull
distributionpublic double nextZigguratNormalAR()
The nextZigguratNormalAR method cuts the density into many
small pieces. For each random number generated, an interval is chosen at
random and a random normal is generated from the choosen interval. In
this implementation, the density is cut into 256 pieces, but symmetry is
used so that only 128 pieces are needed by the computation. Following
Doornik (2005), different uniform random deviates are used to determine
which slice to use and to determine the normal deviate from the
slice.
double containing the random normal deviate.public void setMultiplier(int multiplier)
java.util.Random, is replaced by
the generatormultiplier - an int which represents the random number
generator multiplierpublic void setSeed(long seed)
public void skip(int n)
setMultiplier.
The method skips ahead in the deviates returned by the protected method
next. The public methods use next(int) as
their source of uniform random deviates. Some methods call it more than
once. For instance, each call to nextDouble calls
it twice.n - is the number of random deviates to skip.Copyright © 1970-2015 Rogue Wave Software
Built March 24 2015.