public class SparseLP extends Object implements Serializable, Cloneable
Class SparseLP uses an infeasible primal-dual interior-point
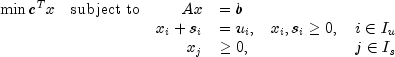
method to solve linear programming problems, i.e., problems of the form

where c is the objective coefficient vector,
A is the coefficient matrix, and the vectors
,
,
,
and
are the lower and upper bounds on the
constraints and the variables, respectively.
Internally, SparseLP transforms the problem given by the user
into a simpler form that is computationally more tractable. After redefining
the notation, the new form reads

Here,
is a partition of
the index set
into upper bounded and
standard variables.
In order to simplify the description it is assumed in the following that the problem above contains only variables with upper bounds, i.e. is of the form

The corresponding dual problem is
![]()
The Karush-Kuhn-Tucker (KKT) optimality conditions for (P) and (D) are

where
are
diagonal matrices and
is a vector of
ones.
Class SparseLP, like all infeasible interior-point methods,
generates a sequence
![]()
of iterates that satisfy
for all
k, but are in general not feasible, i.e. the linear constraints
(1.1)-(1.3) are only satisfied in the limiting case
.
The barrier parameter
, defined by
![]()
measures how good the complementarity conditions (1.4), (1.5) are satisfied.
Mehrotra's predictor-corrector algorithm is a variant of Newton's method
applied to the KKT conditions (1.1)-(1.5). Class SparseLP uses a
modified version of this algorithm to compute the iterates
. In every step of the algorithm,
the search direction vector
![]()
is decomposed into two parts,
, where
and
denote the affine-scaling and the weighted centering components, respectively.
Here,
![]()
where
and
denote the primal and dual corrector weights, respectively.
The vectors
and
are determined by solving the linear system

for two different right-hand sides.
For
, the right-hand side is defined as
![]()
Here,
and
are the
violations of the primal constraints and
defines the
violations of the dual constraints.
The resulting direction
is the pure Newton step
applied to the system (1.1)-(1.5).
In order to obtain the corrector direction
, the
maximum stepsizes
in the primal and
in the dual space preserving nonnegativity
of
and
respectively,
are determined, and the predicted complementarity gap
![]()
is computed. It is then used to determine the barrier parameter
![]()
where
denotes the current complementarity
gap.
The direction
is then computed by choosing
![]()
as the right-hand side in the linear system (2).
Class SparseLP now uses a line search to find the optimal weight
that maximizes the stepsizes
in the primal and dual directions of
, respectively.
A new iterate is then computed using a step reduction factor
:
![]()
In addition to the weighted Mehrotra predictor-corrector,
SparseLP also uses multiple centrality correctors to enlarge the
primal-dual stepsizes per iteration step and to reduce the overall number of
iterations required to solve an LP problem. The maximum number of centrality
corrections depends on the ratio of the factorization and solve efforts for
system (2) and is therefore problem dependent. For a detailed description of
multiple centrality correctors, refer to Gondzio (1994).
The linear system (2) can be reduced to more compact forms, the augmented system (AS)
![]()
or further by elimination of
to the normal equations (NE)
system
![]()
where
![]()
The matrix on the left-hand side of (3), which is symmetric indefinite, can
be transformed into a symmetric quasidefinite matrix by regularization. Since
these types of matrices allow for a Cholesky-like factorization, the
resulting linear system can be solved easily for
by triangular substitutions. For
more information on the regularization technique, see Altman and Gondzio
(1998). For the NE system, matrix
is positive definite, and therefore a sparse Cholesky algorithm can be used
to factor
and solve the system for
by triangular substitutions with the Cholesky
factor L.
In class SparseLP, both approaches are implemented. The AS
approach is chosen if A contains dense columns, if there are a
considerable number of columns in A that are much denser than the
remaining ones, or if there are many more rows than columns in the structural
part of A. Otherwise, the NE approach is selected.
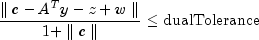
Class SparseLP stops with optimal termination status if the
current iterate satisfies the following three conditions:
![]()
![]()
and
![]()
where primalTolerance, dualTolerance and
optimalityTolerance are primal infeasibility, dual infeasibility
and optimality tolerances, respectively. The default value is 1.0e-10 for
optimalityTolerance and 1.0e-8 for the other two tolerances.
Class SparseLP is based on the code HOPDM developed by Jacek
Gondzio et al., see the HOPDM User's Guide (1995).
| Modifier and Type | Class and Description |
|---|---|
static class |
SparseLP.CholeskyFactorizationAccuracyException
The Cholesky factorization failed because of accuracy problems.
|
static class |
SparseLP.DiagonalWeightMatrixException
A diagonal element of the diagonal weight matrix is too small.
|
static class |
SparseLP.DualInfeasibleException
The dual problem is infeasible.
|
static class |
SparseLP.IllegalBoundsException
The lower bound is greater than the upper bound.
|
static class |
SparseLP.IncorrectlyActiveException
One or more LP variables are falsely characterized by the internal
presolver.
|
static class |
SparseLP.IncorrectlyEliminatedException
One or more LP variables are falsely characterized by the internal
presolver.
|
static class |
SparseLP.InitialSolutionInfeasibleException
The initial solution for the one-row linear program is infeasible.
|
static class |
SparseLP.PrimalInfeasibleException
The primal problem is infeasible.
|
static class |
SparseLP.PrimalUnboundedException
The primal problem is unbounded.
|
static class |
SparseLP.ProblemUnboundedException
The problem is unbounded.
|
static class |
SparseLP.TooManyIterationsException
The maximum number of iterations has been exceeded.
|
static class |
SparseLP.ZeroColumnException
A column of the constraint matrix has no entries.
|
static class |
SparseLP.ZeroRowException
A row of the constraint matrix has no entries.
|
| Constructor and Description |
|---|
SparseLP(int[] colPtr,
int[] rowInd,
double[] values,
double[] b,
double[] c)
Constructs a
SparseLP object using Compressed Sparse Column
(CSC), or Harwell-Boeing format. |
SparseLP(MPSReader mps)
Constructs a
SparseLP object using an MPSReader object. |
SparseLP(SparseMatrix a,
double[] b,
double[] c)
Constructs a
SparseLP object. |
| Modifier and Type | Method and Description |
|---|---|
double |
getConstant()
Returns the value of the constant term in the objective function.
|
int[] |
getConstraintType()
Returns the types of general constraints in the matrix A.
|
double |
getDualInfeasibility()
Returns the dual infeasibility of the solution.
|
double |
getDualInfeasibilityTolerance()
Returns the dual infeasibility tolerance.
|
double[] |
getDualSolution()
Returns the dual solution.
|
int |
getIterationCount()
Returns the number of iterations used by the primal-dual solver.
|
double |
getLargestCPRatio()
Returns the ratio of the largest complementarity product to the average.
|
double[] |
getLowerBound()
Returns the lower bound on the variables.
|
int |
getMaxIterations()
Returns the maximum number of iterations allowed for the primal-dual
solver.
|
double |
getOptimalValue()
Returns the optimal value of the objective function.
|
int |
getPreordering()
Returns the variant of the Minimum Degree Ordering (MDO) algorithm used
in the preordering of the normal equations or augmented system matrix.
|
int |
getPresolve()
Returns the presolve option.
|
double |
getPrimalInfeasibility()
Returns the primal infeasibility of the solution.
|
double |
getPrimalInfeasibilityTolerance()
Returns the primal infeasibility tolerance.
|
int |
getPrintLevel()
Returns the print level.
|
double |
getRelativeOptimalityTolerance()
Returns the relative optimality tolerance.
|
double |
getSmallestCPRatio()
Returns the ratio of the smallest complementarity product to the average.
|
double[] |
getSolution()
Returns the solution x of the linear programming problem.
|
int |
getTerminationStatus()
Returns the termination status for the problem.
|
double[] |
getUpperBound()
Returns the upper bound on the variables.
|
double[] |
getUpperLimit()
Returns the upper limit of the constraints that have both a lower and an
upper bound.
|
double |
getViolation()
Returns the violation of the variable bounds.
|
void |
setConstant(double c0)
Sets the value of the constant term in the objective function.
|
void |
setConstraintType(int[] constraintType)
Sets the types of general constraints in the matrix A.
|
void |
setDualInfeasibilityTolerance(double dualTolerance)
Sets the dual infeasibility tolerance.
|
void |
setLowerBound(double[] lowerBound)
Sets the lower bound on the variables.
|
void |
setMaxIterations(int maxIterations)
Sets the maximum number of iterations allowed for the primal-dual solver.
|
void |
setPreordering(int preorder)
Sets the variant of the Minimum Degree Ordering (MDO) algorithm used in
the preordering of the normal equations or augmented system matrix.
|
void |
setPresolve(int presolve)
Sets the presolve option.
|
void |
setPrimalInfeasibilityTolerance(double primalTolerance)
Sets the primal infeasibility tolerance.
|
void |
setPrintLevel(int printLevel)
Sets the print level.
|
void |
setRelativeOptimalityTolerance(double optimalityTolerance)
Sets the relative optimality tolerance.
|
void |
setUpperBound(double[] upperBound)
Sets the upper bound on the variables.
|
void |
setUpperLimit(double[] bu)
Sets the upper limit of the constraints that have both a lower and an
upper bound.
|
void |
solve()
Solves the sparse linear programming problem by an infeasible primal-dual
interior-point method.
|
public SparseLP(int[] colPtr,
int[] rowInd,
double[] values,
double[] b,
double[] c)
SparseLP object using Compressed Sparse Column
(CSC), or Harwell-Boeing format. See Compressed Sparse Column (CSC)
Format, Chapter 1.colPtr - an int array containing the location in
values in which to place the first nonzero value of each
succeeding column of the constraint matrix A. colPtr,
rowInd and values specify the location and
value of each nonzero coefficient in the constraint matrix
A in CSC format.rowInd - an int array containing a list of the row
indices of each column of the constraint matrix
A. colPtr, rowInd and
values specify the location and value of each nonzero
coefficient in the constraint matrix A in CSC format.values - a double array containing the value of each
nonzero coefficient in the constraint matrix A.
colPtr, rowInd and values specify
the location and value of each nonzero coefficient in the constraint
matrix A in CSC format.b - a double array of length m, number of
constraints, containing the right-hand side of the constraints; if there
are limits on both sides of the constraints, then b contains
the lower limit of the constraintsc - a double array of length n, the number of
variables, containing the coefficients of the objective functionpublic SparseLP(MPSReader mps)
SparseLP object using an MPSReader object.mps - an MPSReader object specifying the Linear
Programming problempublic SparseLP(SparseMatrix a, double[] b, double[] c)
SparseLP object.a - a SparseMatrix object containing the location and
value of each nonzero coefficient in the constraint matrix A. If
there is no constraint matrix, set a = null.b - a double array of length m, the number of
constraints, containing the right-hand side of the constraints. If there
are limits on both sides of the constraints, then b contains
the lower limit of the constraints.c - a double array of length n, the number of
variables, containing the coefficients of the objective functionpublic double getConstant()
double scalar containing the value of the constant
term in the objective functionpublic int[] getConstraintType()
setConstraintType.int array containing the types of general
constraints in the matrix Apublic double getDualInfeasibility()
double scalar containing the dual infeasibility of
the solution, public double getDualInfeasibilityTolerance()
double scalar containing the dual infeasibility
tolerancepublic double[] getDualSolution()
double array containing the dual solutionpublic int getIterationCount()
int scalar containing the number of iterations
used by the primal-dual solverpublic double getLargestCPRatio()
double scalar containing the ratio of the largest
complementarity product to the averagepublic double[] getLowerBound()
double array containing the lower bound on the
variablespublic int getMaxIterations()
int scalar containing the maximum number of
iterations allowed for the primal-dual solverpublic double getOptimalValue()
double scalar containing the optimal value of the
objective functionpublic int getPreordering()
setPreordering.int scalar containing the variant of the Minimum
Degree Ordering (MDO) algorithm used in the preordering of the normal
equations or augmented system matrixpublic int getPresolve()
setPresolve.int scalar containing the presolve optionpublic double getPrimalInfeasibility()
double scalar containing the primal infeasibility
of the solution, public double getPrimalInfeasibilityTolerance()
double scalar containing the primal infeasibility
tolerancepublic int getPrintLevel()
setPrintLevel.int scalar containing the print levelpublic double getRelativeOptimalityTolerance()
double scalar containing the relative optimality
tolerancepublic double getSmallestCPRatio()
double scalar containing the ratio of the smallest
complementarity product to the averagepublic double[] getSolution()
double array containing the solution
x of the linear programming problempublic int getTerminationStatus()
int scalar containing the termination status for
the problem
|
status |
Description |
| 0 | Optimal solution found. |
| 1 | The problem is primal infeasible (or dual unbounded). |
| 2 | The problem is primal unbounded (or dual infeasible). |
| 3 | Suboptimal solution found (accuracy problems). |
| 4 | Iterations limit maxIterations exceeded. |
| 5 | An error outside of the solution phase of the algorithm, e.g. a user input or a memory allocation error. |
public double[] getUpperBound()
double array containing the upper bound on the
variablespublic double[] getUpperLimit()
double array containing the upper limit of the
constraints that have both a lower and an upper bound. Returns
null if the upper limit has not been set.public double getViolation()
double scalar containing the violation of the
variable bounds, public void setConstant(double c0)
c0 - a double scalar containing the value of the
constant term in the objective function
Default: c0 = 0
public void setConstraintType(int[] constraintType)
constraintType - an int array of length m
containing the types of general constraints in the matrix A. Let
constraintType[i] signifies the following:
|
constraintType |
Constraint |
| 0 | |
| 1 | |
| 2 | |
| 3 | |
| 4 | Ignore this constraint |
Note that constraintType[i] = 3 should only be used for constraints
i with both a finite lower and a finite upper bound. For
one-sided constraints, use constraintType[i] = 1 or
constraintType[i] = 2. For free constraints, use
constraintType[i] = 4.
Default: constraintType[i] = 0
public void setDualInfeasibilityTolerance(double dualTolerance)
dualTolerance - a double scalar containing the dual
infeasibility tolerance
Default: dualTolerance = 1.0e-8
public void setLowerBound(double[] lowerBound)
lowerBound - a double array of length n
containing the lower bound
Default: lowerBound[i] = 0
public void setMaxIterations(int maxIterations)
maxIterations - an int scalar containing the maximum
number of iterations allowed for the primal-dual solver
Default: maxIterations = 200
public void setPreordering(int preorder)
preorder - an int scalar containing the variant of the
Minimum Degree Ordering (MDO) algorithm used in the preordering of the
normal equations or augmented system matrix
| preorder | Method |
| 0 | A variant of the MDO algorithm using pivotal cliques. |
| 1 | A variant of George and Liu's Quotient Minimum Degree algorithm. |
Default: preorder = 0
public void setPresolve(int presolve)
presolve - an int containing the the presolve option to
resolve the LP problem in order to reduce the problem size or to detect
infeasibility or unboundedness of the problem. Depending on the number of
presolve techniques used, different presolve levels can be chosen:
| presolve | Description |
| 0 | No presolving. |
| 1 | Eliminate singleton rows. |
| 2 | In addition to 1, eliminate redundant (and forcing) rows. |
| 3 | In addition to 1 and 2, eliminate dominated variables. |
| 4 | In addition to 1, 2, and 3, eliminate singleton columns. |
| 5 | In addition to 1, 2, 3, and 4, eliminate doubleton rows. |
| 6 | In addition to 1, 2, 3, 4, and 5, eliminate aggregate columns. |
Default: presolve = 0
public void setPrimalInfeasibilityTolerance(double primalTolerance)
primalTolerance - a double scalar containing the primal
infeasibility tolerance
Default: primalTolerance = 1.0e-8
public void setPrintLevel(int printLevel)
printLevel - an int containing the print level
| printLevel | Action |
| 0 | No printing. |
| 1 | Prints statistics on the LP problem and the solution process. |
Default: printLevel = 0
public void setRelativeOptimalityTolerance(double optimalityTolerance)
optimalityTolerance - a double scalar containing the
relative optimality tolerance
Default: optimalityTolerance = 1.0e-10
public void setUpperBound(double[] upperBound)
upperBound - a double array of length n
containing the upper bound Default: None of the variables has an upper bound
public void setUpperLimit(double[] bu)
bu - a double array of length m containing the
upper limit setConstraintType must be used to define the type of the
constraints. If constraintType[i] != 3, i.e. if constraint
i is not two-sided, then the corresponding entry in
bu, bu[i], is ignored.
Default: None of the constraints has an upper limit
public void solve()
throws SparseLP.DiagonalWeightMatrixException,
SparseLP.CholeskyFactorizationAccuracyException,
SparseLP.PrimalUnboundedException,
SparseLP.PrimalInfeasibleException,
SparseLP.DualInfeasibleException,
SparseLP.InitialSolutionInfeasibleException,
SparseLP.TooManyIterationsException,
SparseLP.ProblemUnboundedException,
SparseLP.ZeroColumnException,
SparseLP.ZeroRowException,
SparseLP.IncorrectlyEliminatedException,
SparseLP.IncorrectlyActiveException,
SparseLP.IllegalBoundsException
SparseLP.DiagonalWeightMatrixException - is thrown if a diagonal element of
the diagonal weight matrix is too smallSparseLP.CholeskyFactorizationAccuracyException - is thrown if the Cholesky
factorization failed because of accuracy problemsSparseLP.PrimalUnboundedException - is thrown if the primal problem is
unboundedSparseLP.PrimalInfeasibleException - is thrown if the primal problem is
infeasibleSparseLP.DualInfeasibleException - is thrown if the dual problem is
infeasibleSparseLP.InitialSolutionInfeasibleException - is thrown if the initial
solution for the one-row linear program is infeasibleSparseLP.TooManyIterationsException - is thrown if the maximum number of
iterations has been exceededSparseLP.ProblemUnboundedException - is thrown if the problem is unboundedSparseLP.ZeroColumnException - is thrown if a column of the constraint
matrix has no entriesSparseLP.ZeroRowException - is thrown if a row of the constraint matrix has
no entriesSparseLP.IncorrectlyEliminatedException - is thrown if one or more LP
variables are falsely characterized by the internal presolverSparseLP.IncorrectlyActiveException - is thrown if one or more LP variables
are falsely characterized by the internal presolverSparseLP.IllegalBoundsException - is thrown if the lower bound is
greater than the upper boundCopyright © 1970-2015 Rogue Wave Software
Built June 18 2015.