public class ARMAEstimateMissing extends Object implements Serializable
ARMA class.
Traditional time series analysis as described by Box, Jenkins and
Reinsel (1994) requires the observations be made at equidistant time points
where
.
When observations are missing, ARMA requires that they be replaced
with suitable estimates. Class ARMAEstimateMissing offers 4 methods
for estimating missing values: MEDIAN, CUBIC_SPLINE, AR_1, and
AR_P
Method MEDIAN estimates the missing observations in a gap by the median of the
last four time series values before and the first four values after the gap.
If not enough values are available before or after the gap then the number
is reduced accordingly. This method is very fast and simple, but its use is
limited to stationary ergodic series without outliers and level shifts.
Method CUBIC_SPLINE uses a cubic spline interpolation method to estimate missing values.
Here the interpolation is again done over the last four time series values
before and the first four values after the gap. The missing values are estimated
by the resulting interpolant. This method gives smooth transitions across
missing values.
Method AR_1 assumes that the time series before the gap can be approximated
using an AR(1) process. If the last observation prior to the gap is made at
time point
then this method uses values at
to compute the one-step-ahead forecast
at origin
. This value is used to estimate the
missing value at time point
. If the value at
is also missing then the values at time points
are used to recompute the AR(1)
model, and then estimate the value at
and so on.
The coefficient
in the AR(1) model is computed
internally by the method of least squares from class ARMA.
Finally, method AR_P uses an AR(p) model to estimate missing values using a
one-step-ahead forecast similar to method AR_1. First, class ARAutoUnivariate,
is applied to the time series values just prior to the missing values to
determine the optimum p from the set
of possible values and to compute the parameters
of the resulting AR(p) model. The parameters are estimated by the least squares
method based on Householder transformations as described in Kitagawa and
Akaike (1978). Denoting the mean of the series
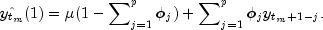
by
the one-step-ahead forecast at origin
, can be computed by the formula
![]()
This value is used as an estimate for the missing value at
.
The procedure starting with ARAutoUnivariate is then repeated for every further
missing value in the gap. All four estimation methods treat gaps of missing
values in increasing time order.
| Modifier and Type | Field and Description |
|---|---|
static int |
AR_1
Indicates that missing values should be estimated using an autoregressive
time series with 1 lag.
|
static int |
AR_P
Indicates that missing values should be estimated using an autoregressive
time series with a maximum lag of
maxLag. |
static int |
CUBIC_SPLINE
Indicates that missing values should be estimated using cublic spline
interpolation.
|
static int |
LEAST_SQUARES
Estimate autoregressive coefficients using least squares.
|
static int |
MAX_LIKELIHOOD
Estimate autoregressive coefficients using maximum likelihood.
|
static int |
MEDIAN
Indicates that missing values should be estimated using the median
of the values just before and after the missing value gap.
|
static int |
METHOD_OF_MOMENTS
Estimate autoregressive coefficients using method of moments.
|
| Constructor and Description |
|---|
ARMAEstimateMissing(int[] tpoints,
double[] z)
Constructor for
ARMAEstimateMissing. |
| Modifier and Type | Method and Description |
|---|---|
int[] |
getCompleteTimes()
Returns an
int array of all time points, including values
for times with missing values in z. |
double[] |
getCompleteTimeSeries()
Returns a
double precision vector of length
tpoints[tpoints.length-1]-tpoints[0]+1 containing the observed values in the
time series z plus estimates for missing values in gaps
identified in tpoints. |
double |
getConvergenceTolerance()
Returns the current value of convergence tolerance used by the
AR_1 and AR_P estimation methods. |
int |
getEstimationMethod()
Returns the method used for estimating the final autoregressive
coefficients for missing value estimation methods
AR_1 and
AR_P. |
int |
getMaxIterations()
Returns the maximum number of estimation iterations used by missing
value estimation methods
AR_1 and AR_P. |
int |
getMaxlag()
Returns the current value of autoregressive lags used in the
AR_P estimation method. |
double |
getMean()
Returns the mean value used to center the series.
|
int[] |
getMissingTimes()
Returns an
int array of the times with missing values. |
int |
getMissingValueMethod()
Returns the current missing value estimation method.
|
int |
getNumberMissing()
Returns the number of missing values in the original series
|
double |
getRelativeError()
Returns the relative error used for the
METHOD_OF_MOMENTS and
LEAST_SQARES estimation methods. |
void |
setConvergenceTolerance(double convergenceTolerance)
Sets the covergence tolerance used by the
AR_1 and
AR_P missing value estimation methods. |
void |
setEstimationMethod(int arEstimationMethod)
Sets the method used for estimating the autoregressive
coefficients for missing value estimation methods
AR_1 and
AR_P. |
void |
setMaxIterations(int maxIterations)
Sets the maximum number of estimation iterations for missing value
estimation methods
AR_1 and AR_P. |
void |
setMaxlag(int maxlag)
Sets the maximum number of autoregressive lags when method
AR_P is selected as the missing value estimation method. |
void |
setMean(double mean)
Sets the mean value used to center the series.
|
void |
setMissingValueMethod(int method)
Sets the current missing value estimation method to
MEDIAN,
CUBIC_SPLINE, AR_1, or AR_P. |
void |
setRelativeError(double relativeError)
Sets the relative error used for the
METHOD_OF_MOMENTS and
LEAST_SQUARES estimation methods. |
public static final int AR_1
public static final int AR_P
maxLag. By default
maxLag=10, but this can be changed using the
setMaxlag method.public static final int CUBIC_SPLINE
public static final int LEAST_SQUARES
public static final int MAX_LIKELIHOOD
public static final int MEDIAN
public static final int METHOD_OF_MOMENTS
public ARMAEstimateMissing(int[] tpoints,
double[] z)
ARMAEstimateMissing.tpoints - an int array containing the times at which
the series values were observed. The values must be strictly
increasing. Times for missing values are identified as
non-incremental gaps in this series. A gap of missing values
in z is assumed when the difference between two
consecutive values is greater than 1, i.e.
z - a double array containing the values for the
time series observed at the times given in the vector
tpoints.public int[] getCompleteTimes()
int array of all time points, including values
for times with missing values in z.int array of all times from tpoints[0]=1
to tpoints.length+nMissing. Where nMissing is
the number of values removed from the original time series,
nMissing = getNumberMissing().public double[] getCompleteTimeSeries()
throws ARMA.MatrixSingularException,
ARMA.TooManyCallsException,
ARMA.IncreaseErrRelException,
ARMA.NewInitialGuessException,
ARMA.IllConditionedException,
ARMA.TooManyITNException,
ARMA.TooManyFcnEvalException,
ARMA.TooManyJacobianEvalException,
ARAutoUnivariate.TriangularMatrixSingularException,
ARMAMaxLikelihood.NonStationaryException,
ARMAMaxLikelihood.NonInvertibleException,
ARMAMaxLikelihood.InitialMAException
double precision vector of length
tpoints[tpoints.length-1]-tpoints[0]+1 containing the observed values in the
time series z plus estimates for missing values in gaps
identified in tpoints.double array of length tpoints[tpoints.length-1]-tpoints[0]+1
containing the observed values in the time series z plus estimates for
missing values in gaps identified in tpoints.ARAutoUnivariate.TriangularMatrixSingularException - is thrown
if the input matrix to ARAutoUnivariate is singular.
This can only occur with estimation method AR_P.ARMA.MatrixSingularException - is thrown if the input matrix is
singular.ARMA.TooManyCallsException - is thrown if the number of calls
to the function has exceeded the maximum number of
iterations times the number of moving average (MA)
parameters + 1.ARMA.IncreaseErrRelException - is thrown if the bound for the
relative error is too small.ARMA.NewInitialGuessException - is thrown if the iteration has not
made good progress.ARMA.IllConditionedException - is thrown if the problem is
ill-conditioned.ARMA.TooManyITNException - is thrown if the maximum number of
iterations is exceeded.ARMA.TooManyFcnEvalException - is thrown if the maximum number of
function evaluations is exceeded.ARMA.TooManyJacobianEvalException - is thrown if the maximum number
of Jacobian evaluations is exceeded.ARMAMaxLikelihood.NonStationaryException - is thrown if the final maximum
likelihood estimates for the time series are nonstationary.ARMAMaxLikelihood.NonInvertibleException - is thrown if the final maximum
likelihood estimates for the time series are noninvertible.ARMAMaxLikelihood.InitialMAException - is thrown if the initial values provided
for the moving average terms using setMA are
noninvertable. In this case, ARMAMaxLikelihood
terminates and does not compute the time series
estimates.public double getConvergenceTolerance()
AR_1 and AR_P estimation methods.double scalar value equal to the convergence
tolerance. By default the convergence tolerance is 1.0e-09.public int getEstimationMethod()
AR_1 and
AR_P.int representing the estimation method used for
estimating the autoregressive coefficients. 0 implies METHOD_OF_MOMENTS,
1 implies LEAST_SQUARES, 2 implies MAX_LIKELIHOOD.public int getMaxIterations()
AR_1 and AR_P.int scalar equal to the maximum number of
iterations for the maximum likelihood missing value estimation
method. If this limit is exceeded during the compute
method, ARMAEstimateMissing stops execution and issues
an ARMAMaxLikelihood.IterationLimitExceededException.public int getMaxlag()
AR_P estimation method.int scalar value equal to the maximum number
of autoregressive lags used with the AR_P
missing value estimation method.public double getMean()
double scalar used to center the series.public int[] getMissingTimes()
int array of the times with missing values.int array containing the times at which
missing values were estimated. If there are no missing
values a null array is returned.public int getMissingValueMethod()
int representing the estimation method used for
estimating the missing values in the time series. 0 implies
MEDIAN, 1 implies CUBIC_SPLINE, 2
implies AR_1 and 3 implies AR_P.public int getNumberMissing()
int scalar value containing
the number of missing values in the time series.public double getRelativeError()
METHOD_OF_MOMENTS and
LEAST_SQARES estimation methods.double scalar containing the stopping criterion for
use in the nonlinear equation solver used in both the method
of moments and least-squares algorithm.public void setConvergenceTolerance(double convergenceTolerance)
AR_1 and
AR_P missing value estimation methods.convergenceTolerance - A double scalar
value. Default: convergenceTolerance = 1.0e-09public void setEstimationMethod(int arEstimationMethod)
AR_1 and
AR_P.arEstimationMethod - An int scalar
specifying the method used to estimate the autoregressive
coefficients. Valid methods are METHOD_OF_MOMENTS,
LEAST_SQUARES, and MAX_LIKELIHOOD.
By default, arEstimationMethod=LEAST_SQUARES.public void setMaxIterations(int maxIterations)
AR_1 and AR_P.
If this limit is exceeded ARMAEstimateMissing stops
execution during the compute method and issues an
IterationLimitExceededException.maxIterations - An int specifying the maximum number
of iterations for the maximum likelihood estimation.
By default, maxIterations=200.public void setMaxlag(int maxlag)
AR_P is selected as the missing value estimation method.maxlag - An int scalar value equal to the maximum
number of autoregressive lags. maxlag must be
greater than z.length-5. By default
maxlag=10.public void setMean(double mean)
mean - a double scalar used to center the series.
By default the median of the series is used for
centering.public void setMissingValueMethod(int method)
MEDIAN,
CUBIC_SPLINE, AR_1, or AR_P.method - An int scalar. By
default method=AR_1.public void setRelativeError(double relativeError)
METHOD_OF_MOMENTS and
LEAST_SQUARES estimation methods.relativeError - a double scalar containing the stopping
criterion for use in the nonlinear equation solver used in
both the method of moments and least-squares algorithm.
Default: relativeError = 2.22045e-14Copyright © 1970-2015 Rogue Wave Software
Built June 18 2015.