public class NormTwoSample extends Object implements Serializable, Cloneable
Class NormTwoSample computes statistics for making
inferences about the means and variances of two normal populations, using
independent samples in x1 and x2. Missing values,
that is, values equal to NaN (not a number), are excluded from the
computations. For inferences concerning parameters of a single normal
population, see class NormOneSample.
Let
and
be
the mean and variance of the first population, and let
and
be the
corresponding quantities of the second population. The function contains
test confidence intervals for difference in means, equality of variances,
and the pooled variance.
The means and variances for the two samples are as follows:
![]()
and
![]()
Inferences about the Means
The test that the difference in means equals a certain value, for
example,
, depends on whether or not the variances
of the two populations can be considered equal. If the variances are equal
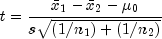
and meanHypothesis equals 0, the test is the two-sample
t-test, which is equivalent to an analysis-of-variance test. The
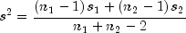
pooled variance for the difference-in-means test is as follows:
![]()
The t statistic is as follows:
![]()
Also, the confidence interval for the difference in means can be obtained
by first assigning the unequal variances flag to false. This can be done by calling
the setUnequalVariances method. The confidence interval
can then be obtained by the getLowerCIDiff and
getUpperCIDiff methods.
If the population variances are not equal, the ordinary t
statistic does not have a t distribution and several approximate
tests for the equality of means have been proposed. (See, for example,
Anderson and Bancroft 1952, and Kendall and Stuart 1979.) One of the
earliest tests devised for this situation is the Fisher-Behrens test, based
on Fisher's concept of fiducial probability. A procedure used in the
getTTest, getLowerCIDiff and getUpperCIDiff
methods assuming unequal variances are specified is the Satterthwaite's
procedure, as suggested by H.F. Smith and modified by F.E. Satterthwaite
(Anderson and Bancroft 1952, p. 83). Use setUnequalVariances
true to obtain results assuming unequal variances.
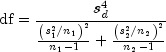
The test statistic is
![]()
where
![]()
Under the null hypothesis of
, this
quantity has an approximate t distribution with degrees of freedom
df, given by the following equation:

Inferences about Variances
The F statistic for testing the equality of variances is given by
, where
is the larger of
and
. If the variances are equal, this quantity
has an F distribution with
and
degrees of freedom.
It is generally not recommended that the results of the F test be
used to decide whether to use the regular t-test or the modified
on a single set of data. The modified
(Satterthwaite's procedure) is the more conservative
approach to use if there is doubt about the equality of the variances.
| Constructor and Description |
|---|
NormTwoSample(double[] x,
double[] y)
Constructor to compute statistics for mean and variance
inferences using samples from two normal
populations.
|
| Modifier and Type | Method and Description |
|---|---|
void |
downdateX(double[] x)
Removes the observations in
x from the first sample. |
void |
downdateY(double[] y)
Removes the observations in
y from the second sample. |
double |
getChiSquaredTest()
Returns the test statistic associated with the chi-squared test
for common, or pooled, variances.
|
int |
getChiSquaredTestDF()
Returns the degrees of freedom associated with the chi-squared
test for the common, or pooled, variances.
|
double |
getChiSquaredTestP()
Returns the probability of a larger chi-squared associated
with the chi-squared test for common, or pooled, variances.
|
double |
getDiffMean()
Returns the difference in means, mean of
x - mean of y. |
double |
getFTest()
Returns the F test value of the F test for equality
of variances.
|
int |
getFTestDFdenominator()
Returns the denominator degrees of freedom of the F
test for equality of variances.
|
int |
getFTestDFnumerator()
Returns the numerator degrees of freedom of the F
test for equality of variances.
|
double |
getFTestP()
Returns the probability of a larger F in absolute value for the
F test for equality of variances, assuming equal variances.
|
double |
getLowerCICommonVariance()
Returns the lower confidence limits for the common,
or pooled, variance.
|
double |
getLowerCIDiff()
Returns the lower confidence limit for the mean of
the first population minus the mean of the second for
equal or unequal variances depending on the value
set by setUnequalVariances.
|
double |
getLowerCIRatioVariance()
Returns the approximate lower confidence limit for the ratio
of the variance of the first population to the second.
|
double |
getMeanX()
Returns the mean of the first sample,
x. |
double |
getMeanY()
Returns the mean of the second sample,
y. |
double |
getPooledVariance()
Returns the Pooled variance for the two samples.
|
double |
getStdDevX()
Returns the standard deviation of the first sample.
|
double |
getStdDevY()
Returns the standard deviation of the second sample.
|
double |
getTTest()
Returns the test statistic for the Satterthwaite's
approximation.
|
double |
getTTestDF()
Returns the degrees of freedom for the Satterthwaite's
approximation for t-test for either equal
or unequal variances, depending on the value set by
setUnequalVariances. |
double |
getTTestP()
Returns the approximate probability of a larger
t for the
Satterthwaite's approximation for equal or unequal variances. |
double |
getUpperCICommonVariance()
Returns the upper confidence limits for the common,
or pooled, variance.
|
double |
getUpperCIDiff()
Returns the upper confidence limit for the mean of
the first population minus the mean of the second for
equal or unequal variances depending on the value
set by
setUnequalVariances. |
double |
getUpperCIRatioVariance()
Returns the approximate upper confidence limit for the ratio
of the variance of the first population to the second.
|
void |
setChiSquaredTestNull(double varianceHypothesisValue)
Sets the null hypothesis value for the chi-squared test.
|
void |
setConfidenceMean(double confidenceMean)
Sets the confidence level (in percent) for a two-sided
interval estimate of the mean of
x - the mean of y,
in percent. |
void |
setConfidenceVariance(double confidenceVariance)
Sets the confidence level (in percent) for two-sided interval
estimate of the variances.
|
void |
setTTestNull(double meanHypothesis)
Sets the Null hypothesis value for t-test for the mean.
|
void |
setUnequalVariances(boolean eqVar)
Specifies whether to return statistics based on equal or unequal
variances.
|
void |
update(double[] x,
double[] y)
Concatenates samples x and y to the samples provided in the constructor.
|
void |
updateX(double[] x)
Concatenates the values in
x to the first sample
provided in the constructor. |
void |
updateY(double[] y)
Concatenates the values in
y to the second sample
provided in the constructor. |
public NormTwoSample(double[] x,
double[] y)
x - is a double
array containing the first sample.y - is a double
array containing the second sample.public void downdateX(double[] x)
x from the first sample.x - is a double
array containing the values to remove from the first sample.public void downdateY(double[] y)
y from the second sample.y - is a double
array containing the values to remove from the second sample.public double getChiSquaredTest()
setChiSquaredTestNull.double containing the test statistic for the
chi-squared test.public int getChiSquaredTestDF()
setChiSquaredTestNull.int containing the degrees of freedom for the
chi-squared test.public double getChiSquaredTestP()
setChiSquaredTestNull.double containing the probability of a larger
chi-squared for the chi-squared test for variances.public double getDiffMean()
x - mean of y.double containing the
difference in mean.public double getFTest()
double containing the F test value
of the F test for equality of variances.public int getFTestDFdenominator()
int containing the denominator
degrees of freedom.public int getFTestDFnumerator()
int containing the numerator
degrees of freedom.public double getFTestP()
double containing the probability
of a larger F in absolute value, assuming equal variances.public double getLowerCICommonVariance()
double containing the lower confidence
limits for the variance.public double getLowerCIDiff()
setUnequalVariancesdouble containing the lower confidence
limit for the mean of the first sample minus the mean of the
second sample.public double getLowerCIRatioVariance()
double containing the approximate
lower confidence limit variance.public double getMeanX()
x.double containing the mean.public double getMeanY()
y.double containing the mean.public double getPooledVariance()
double containing the Pooled
variance for the two samples.public double getStdDevX()
double containing the standard deviation
of the first sample.public double getStdDevY()
double containing the standard deviation
of the second sample.public double getTTest()
setUnequalVariances.
setUnequalVariancesdouble containing the test statistic for
the t-test.public double getTTestDF()
setUnequalVariances.
setUnequalVariancesdouble containing the degrees of freedom
for the t-test.public double getTTestP()
t for the
Satterthwaite's approximation for equal or unequal variances.
setUnequalVariancesdouble containing the probability for the
t-test.public double getUpperCICommonVariance()
double containing the upper confidence
limits for the variance.public double getUpperCIDiff()
setUnequalVariances.
setUnequalVariancesdouble containing the upper confidence
limit for the mean of the first sample minus the mean of the
second sample.public double getUpperCIRatioVariance()
double containing the approximate
upper confidence limit variance.public void setChiSquaredTestNull(double varianceHypothesisValue)
varianceHypothesisValue - a double
containing the null hypothesis value for the
chi-squared test.public void setConfidenceMean(double confidenceMean)
x - the mean of y,
in percent. Argument confidenceMean
must be between 0.0 and 1.0 and is often 0.90, 0.95 or 0.99.
For a one-sided confidence interval with confidence level c (at least
50 percent), set confidenceMean - double containing the confidence
level of the mean.public void setConfidenceVariance(double confidenceVariance)
confidenceVariance percent confidence interval
for the common variance with
getLowerCICommonVariance or
getUpperCICommonVariance.
Without making the assumption
of equal variances,
setUnequalVariances
, the ratio of the
variances is of interest. A two-sided confidenceVariance
percent confidence interval for the ratio of the variance of the
first sample to that of the second sample is given by the
getLowerCIRatioVariance and getUpperCIRatioVariance.
See setUnequalVariances and
getUpperCIRatioVariance. The confidence
intervals are symmetric in probability.
Argument confidenceVariance must be between 0.0 and 1.0
and is often 0.90, 0.95 or 0.99. The default is 0.95.confidenceVariance - double containing the confidence
level of the variance.public void setTTestNull(double meanHypothesis)
meanHypothesis=0.0 by default.meanHypothesis - double containing the hypothesis value.public void setUnequalVariances(boolean eqVar)
eqVar is True then statistics for unequal variances
will be returned.eqVar - a boolean containing a true or false value.
A value of true will cause results for unequal variances to be returned.
A value of false will cause results for equal variances to be returned.public void update(double[] x,
double[] y)
This method updates the test results to include a new subset of the data. This is useful when the data is too large to fit into memory or when all of the data is not available at one time or location.
x - is a double
array containing updates to the first sample.y - is a double
array containing updates to the second sample.public void updateX(double[] x)
x to the first sample
provided in the constructor.
This method updates the test results to include a new subset of the data. This is useful when the data is too large to fit into memory or when all of the data is not available at one time or location.
x - is a double
array containing updates for the first sample.public void updateY(double[] y)
y to the second sample
provided in the constructor.
This method updates the test results to include a new subset of the data. This is useful when the data is too large to fit into memory or when all of the data is not available at one time or location.
y - is a double
array containing updates for the second sample.Copyright © 1970-2015 Rogue Wave Software
Built June 18 2015.