public class GammaPD extends ProbabilityDistribution implements Serializable, Cloneable
| Constructor and Description |
|---|
GammaPD()
Constructor for the gamma probability distribution
|
| Modifier and Type | Method and Description |
|---|---|
double[] |
getParameterLowerBounds()
Returns the lower bounds for the shape and scale parameters of the gamma
distribution.
|
double[] |
getParameterUpperBounds()
Returns the upper bounds for the shape and scale parameters of the gamma
distribution.
|
double |
pdf(double x,
double[] params)
Returns the value of the gamma probability density function.
|
getNumberOfParameters, getPDFGradientApproximation, getPDFHessianApproximation, getRangeOfX, setRangeOfXpublic double[] getParameterLowerBounds()
getParameterLowerBounds in class ProbabilityDistributiondouble array containing the lower boundspublic double[] getParameterUpperBounds()
getParameterUpperBounds in class ProbabilityDistributiondouble array containing the upper boundspublic double pdf(double x,
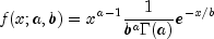
double[] params)
The probability density function of the gamma distribution is
![]()
pdf in class ProbabilityDistributionx - a double value in the range of Xparams - a double array containing values of the
parameters, with params[0]="a" and
params[1]="b". The argument can also be a
comma-delimited list "a", "b" or
params[0],params[1].
Note: The argument params is a variable length argument list
(varargs).
double value equal to the probability density at
x given the parameter valuesCopyright © 1970-2015 Rogue Wave Software
Built June 18 2015.