| FinanceIrr Method (Double, Double) |
Returns the internal rate of return for a schedule of cash flows.
Namespace: Imsl.FinanceAssembly: ImslCS (in ImslCS.dll) Version: 6.5.2.0
Syntaxpublic static double Irr(
double[] pmt,
double guess
)
Public Shared Function Irr (
pmt As Double(),
guess As Double
) As Double
public:
static double Irr(
array<double>^ pmt,
double guess
)
static member Irr :
pmt : float[] *
guess : float -> float
Parameters
- pmt
- Type: SystemDouble
A double array which contains cash flow values which occur at
regular intervals.
- guess
- Type: SystemDouble
A double value which represents an initial guess at the return
value from this function.
Return Value
Type:
Double
A
double which specifies the internal rate of return.
Remarks
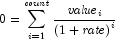
It is found by solving the following:
where
= the
cash flow,
is the internal rate of return.
See Also