Click or drag to resize
FinanceIrr Method (Double)
Returns the internal rate of return for a schedule of cash flows.

Namespace: Imsl.Finance
Assembly: ImslCS (in ImslCS.dll) Version: 6.5.2.0
Syntax
public static double Irr(
	double[] pmt
)

Parameters

pmt
Type: SystemDouble
A double array which contains cash flow values which occur at regular intervals.

Return Value

Type: Double
A double which specifies the internal rate of return.
Remarks
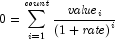
It is found by solving the following:

0 = \sum\limits_{i = 1}^{\it count} {{{\it 
            value}_i } \over {\left( {1 + {\it rate}} \right)^i }}

where {\it value}_i = the ith cash flow, {\it rate} is the internal rate of return.

See Also