|
JMSLTM Numerical Library 6.0 | |||||||
| PREV CLASS NEXT CLASS | FRAMES NO FRAMES | |||||||
| SUMMARY: NESTED | FIELD | CONSTR | METHOD | DETAIL: FIELD | CONSTR | METHOD | |||||||
java.lang.Objectcom.imsl.math.Spline
com.imsl.math.CsTCB
public class CsTCB
Extension of the Spline class to handle a tension-continuity-bias (TCB) cubic spline, also known as a Kochanek-Bartels spline and is a generalization of the Catmull-Rom spline.
Let ![]()
xData, ![]()
yData,
and
the length of xData and yData.
Class CsTCB computes the Kochanek-Bartels spline, a piecewise
cubic Hermite spline interpolant to the set of data points
for
. The breakpoints of the spline are the abscissas.
As with all of the univariate interpolation functions, the abscissas need not be sorted.
The
values are the knots, so the
-th
interval is
. (To simplify the explanation, it is
assumed that the data points are given in increasing order.) The cubic Hermite in the
-th segment has a starting value of
and an
ending value of
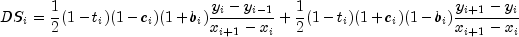
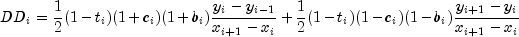
. Its incoming tangent is
![]()
![]()
left, is given as:
![]()
The value of the tangent at the endpoint, right, is given as:
![]()
By default the values of the tangents at the leftmost and rightmost endpoints are zero. These values
can be reset via the setLeftEndTangent and setRightEndTangent methods.
The spline has a continuous first derivative (
) if at each data
point the left and right tangents are equal. This is true if the continuity parameters,
, are
all zero. For any values of the parameters the spline is continuous (
).
If
for all
, then the curve is the Catmull-Rom
spline.
The following chart shows the same data points interpolated with different parameter values. All of the tension, continuity, and bias parameters are zero except for the labeled parameter, which has the indicated value at all data points.
Tension controls how sharply the spline bends at the data points. The tension values can be set via the
setTension method. If tension values are near +1, the curve tightens. If the
tension values are near -1, the curve slackens.
The continuity parameter controls the continuity of the first derivative. The continuity values
can be set via the setContinuity method. If the continuity value is zero, the
spline's first derivative is continuous, so the spline is
.
The bias parameter controls the weighting of the left and right tangents. If zero, the tangents are
equally weighted. If the bias parameter is near +1, the left tangent dominates. If the bias parameter is
near -1, the right tangent dominates. The bias values can be set via the setBias method.

| Field Summary |
|---|
| Fields inherited from class com.imsl.math.Spline |
|---|
breakPoint, coef, EPSILON_LARGE |
| Constructor Summary | |
|---|---|
CsTCB(double[] xData,
double[] yData)
Constructs the tension-continuity-bias (TCB) cubic spline interpolant to the given data points. |
|
| Method Summary | |
|---|---|
void |
compute()
Computes the tension-continuity-bias (TCB) cubic spline interpolant. |
double |
getLeftEndTangent()
Returns the value of the tangent at the leftmost endpoint. |
double |
getRightEndTangent()
Returns the value of the tangent at the rightmost endpoint. |
void |
setBias(double[] bias)
Sets the bias values at the data points. |
void |
setContinuity(double[] continuity)
Sets the continuity values at the data points. |
void |
setLeftEndTangent(double left)
Sets the value of the tangent at the left endpoint. |
void |
setRightEndTangent(double right)
Sets the value of the tangent at the right endpoint. |
void |
setTension(double[] tension)
Sets the tension values at the data points. |
| Methods inherited from class com.imsl.math.Spline |
|---|
copyAndSortData, copyAndSortData, derivative, derivative, derivative, getBreakpoints, integral, value, value |
| Methods inherited from class java.lang.Object |
|---|
clone, equals, finalize, getClass, hashCode, notify, notifyAll, toString, wait, wait, wait |
| Constructor Detail |
|---|
public CsTCB(double[] xData,
double[] yData)
xData - a double array containing the x-coordinates of the data.
Values must be distinct. xData and yData must
be of the same length.yData - a double array containing the y-coordinates of the data.
xData and yData must be of the same length.| Method Detail |
|---|
public void compute()
public double getLeftEndTangent()
double value of the tangent at the leftmost endpoint.public double getRightEndTangent()
double value of the tangent at the rightmost endpoint.public void setBias(double[] bias)
bias - A double array of length xData.length
which contains bias values in
the interval [-1,1]. For each point, if the bias value is zero, the left and
right side tangents are equally weighted. If the value is near +1, the left-side
tangent dominates. If the value is near -1, the right side tangent dominates. By
default, all values of bias are zero.public void setContinuity(double[] continuity)
continuity - A double array of length xData.length
which contains continuity values in
the interval [-1,1]. For each point, if the continuity value is zero, the curve is continuity are zero.public void setLeftEndTangent(double left)
left - A double value of the tangent at the leftmost endpoint.
The default value is zero.public void setRightEndTangent(double right)
right - A double value of the tangent at the rightmost endpoint.
The default value is zero.public void setTension(double[] tension)
tension - A double array of length xData.length
which contains tension values in
the interval [-1,1]. For each point, if the tension value is near +1, the curve is tightened
at that point. If it is near -1, the curve is slack. By
default, all values of tension are zero.
|
JMSLTM Numerical Library 6.0 | |||||||
| PREV CLASS NEXT CLASS | FRAMES NO FRAMES | |||||||
| SUMMARY: NESTED | FIELD | CONSTR | METHOD | DETAIL: FIELD | CONSTR | METHOD | |||||||