JMSLTM Numerical Library 6.0

com.imsl.math
Class Spline

java.lang.Object
  extended by com.imsl.math.Spline
All Implemented Interfaces:
Serializable, Cloneable
Direct Known Subclasses:
CsAkima, CsInterpolate, CsPeriodic, CsShape, CsSmooth, CsSmoothC2, CsTCB

public abstract class Spline
extends Object
implements Serializable, Cloneable

Spline represents and evaluates univariate piecewise polynomial splines.

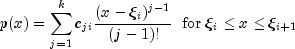
A univariate piecewise polynomial (function) p(x) is specified by giving its breakpoint sequence xi in {bf R}^n, the order k (degree k-1) of its polynomial pieces, and the k times (n-1) matrix c of its local polynomial coefficients. In terms of this information, the piecewise polynomial (ppoly) function is given by

p(x)  = sum_{j=1}^k c_{ji} frac{(x-xi_i)^{j-1}}{(j-1)!}
      ;;{rm for}; xi_i le x le xi_{i+1}

The breakpoint sequence xi is assumed to be strictly increasing, and we extend the ppoly function to the entire real axis by extrapolation from the first and last intervals.

See Also:
Akima Example, Interpolate Example, Periodic Example, Shape Preserving Example, Smoothing Example 1, Smoothing Example 2, Serialized Form

Field Summary
protected  double[] breakPoint
          The breakpoint array of length n, where n is the number of piecewise polynomials.
protected  double[][] coef
          Coefficients of the piecewise polynomials.
protected static double EPSILON_LARGE
          The largest relative spacing for double.
 
Constructor Summary
Spline()
           
 
Method Summary
protected  void copyAndSortData(double[] xData, double[] yData)
          Copy and sort xData into breakPoint and yData into the first column of coef.
protected  void copyAndSortData(double[] xData, double[] yData, double[] weight)
          Copy and sort xData into breakPoint and yData into the first column of coef.
 double derivative(double x)
          Returns the value of the first derivative of the spline at a point.
 double[] derivative(double[] x, int ideriv)
          Returns the value of the derivative of the spline at each point of an array.
 double derivative(double x, int ideriv)
          Returns the value of the derivative of the spline at a point.
 double[] getBreakpoints()
          Returns a copy of the breakpoints.
 double integral(double a, double b)
          Returns the value of an integral of the spline.
 double value(double x)
          Returns the value of the spline at a point.
 double[] value(double[] x)
          Returns the value of the spline at each point of an array.
 
Methods inherited from class java.lang.Object
clone, equals, finalize, getClass, hashCode, notify, notifyAll, toString, wait, wait, wait
 

Field Detail

breakPoint

protected double[] breakPoint
The breakpoint array of length n, where n is the number of piecewise polynomials.


coef

protected double[][] coef
Coefficients of the piecewise polynomials. This is an n by k array, where n is the number of piecewise polynomials and k is the order (degree+1) of the piecewise polynomials.

coef[i] contains the coefficients for the piecewise polynomial valid in the interval [x[k],x[k+1]).


EPSILON_LARGE

protected static final double EPSILON_LARGE
The largest relative spacing for double.

See Also:
Constant Field Values
Constructor Detail

Spline

public Spline()
Method Detail

copyAndSortData

protected void copyAndSortData(double[] xData,
                               double[] yData)
Copy and sort xData into breakPoint and yData into the first column of coef.


copyAndSortData

protected void copyAndSortData(double[] xData,
                               double[] yData,
                               double[] weight)
Copy and sort xData into breakPoint and yData into the first column of coef.


derivative

public double derivative(double x)
Returns the value of the first derivative of the spline at a point.

Parameters:
x - a double, the point at which the derivative is to be evaluated
Returns:
a double containing the value of the first derivative of the spline at the point x

derivative

public double[] derivative(double[] x,
                           int ideriv)
Returns the value of the derivative of the spline at each point of an array.

Parameters:
x - a double array of points at which the derivative is to be evaluated
ideriv - an int specifying the derivative to be computed. If zero, the function value is returned. If one, the first derivative is returned, etc.
Returns:
a double array containing the value of the derivative of the spline at each point of the array x

derivative

public double derivative(double x,
                         int ideriv)
Returns the value of the derivative of the spline at a point.

Parameters:
x - a double, the point at which the derivative is to be evaluated
ideriv - an int specifying the derivative to be computed. If zero, the function value is returned. If one, the first derivative is returned, etc.
Returns:
a double containing the value of the derivative of the spline at the point x

getBreakpoints

public double[] getBreakpoints()
Returns a copy of the breakpoints.

Returns:
a double array containing a copy of the breakpoints

integral

public double integral(double a,
                       double b)
Returns the value of an integral of the spline.

Parameters:
a - a double specifying the lower limit of integration
b - a double specifying the upper limit of integration
Returns:
a double, the integral of the spline from a to b

value

public double value(double x)
Returns the value of the spline at a point.

Parameters:
x - a double, the point at which the spline is to be evaluated
Returns:
a double giving the value of the spline at the point x

value

public double[] value(double[] x)
Returns the value of the spline at each point of an array.

Parameters:
x - a double array of points at which the spline is to be evaluated
Returns:
a double array containing the value of the spline at each point of the array x

JMSLTM Numerical Library 6.0

Copyright © 1970-2009 Visual Numerics, Inc.
Built September 1 2009.