|
JMSLTM Numerical Library 6.0 | |||||||
| PREV CLASS NEXT CLASS | FRAMES NO FRAMES | |||||||
| SUMMARY: NESTED | FIELD | CONSTR | METHOD | DETAIL: FIELD | CONSTR | METHOD | |||||||
java.lang.Objectcom.imsl.stat.Cdf
public final class Cdf
Cumulative probability distribution functions.
| Method Summary | |
|---|---|
static double |
beta(double x,
double pin,
double qin)
Evaluates the beta cumulative probability distribution function. |
static double |
betaMean(double pin,
double qin)
Evaluates the mean of the beta cumulative probability distribution function |
static double |
betaVariance(double pin,
double qin)
Evaluates the variance of the beta cumulative probability distribution function |
static double |
binomial(int k,
int n,
double pin)
Evaluates the binomial cumulative probability distribution function. |
static double |
bivariateNormal(double x,
double y,
double rho)
Evaluates the bivariate normal cumulative probability distribution function. |
static double |
chi(double chsq,
double df)
Evaluates the chi-squared cumulative distribution function (CDF). |
static double |
chiMean(double df)
Evaluates the mean of the chi-squared cumulative probability distribution function |
static double |
chiVariance(double df)
Evaluates the variance of the chi-squared cumulative probability distribution function |
static double |
complementaryChi(double chsq,
double df)
Calculates the complement of the chi-squared cumulative distribution function. |
static double |
complementaryF(double x,
double dfn,
double dfd)
Calculates the complement of the F distribution function. |
static double |
complementaryStudentsT(double t,
double df)
Calculates the complement of the Student's t distribution. |
static double |
discreteUniform(int x,
int n)
Evaluates the discrete uniform cumulative probability distribution function. |
static double |
exponential(double x,
double scale)
Evaluates the exponential cumulative probability distribution function. |
static double |
extremeValue(double x,
double mu,
double beta)
Evaluates the extreme value cumulative probability distribution function. |
static double |
F(double x,
double dfn,
double dfd)
Evaluates the F cumulative probability distribution function. |
static double |
gamma(double x,
double a)
Evaluates the gamma cumulative probability distribution function. |
static double |
geometric(int x,
double pin)
Evaluates the discrete geometric cumulative probability distribution function. |
static double |
hypergeometric(int k,
int sampleSize,
int defectivesInLot,
int lotSize)
Evaluates the hypergeometric cumulative probability distribution function. |
static double |
logistic(double x,
double mu,
double s)
Evaluates the logistic cumulative probability distribution function. |
static double |
logNormal(double x,
double mu,
double sigma)
Evaluates the standard lognormal cumulative probability distribution function. |
static double |
noncentralBeta(double x,
double shape1,
double shape2,
double lambda)
Evaluates the noncentral beta cumulative distribution function (CDF). |
static double |
noncentralchi(double chsq,
double df,
double alam)
Evaluates the noncentral chi-squared cumulative probability distribution function. |
static double |
noncentralF(double f,
double df1,
double df2,
double lambda)
Evaluates the noncentral F cumulative distribution function (CDF). |
static double |
noncentralstudentsT(double t,
int idf,
double delta)
Evaluates the noncentral Student's t cumulative probability distribution function. |
static double |
normal(double x)
Evaluates the normal (Gaussian) cumulative probability distribution function. |
static double |
Pareto(double x,
double xm,
double k)
Evaluates the Pareto cumulative probability distribution function. |
static double |
poisson(int k,
double theta)
Evaluates the Poisson cumulative probability distribution function. |
static double |
Rayleigh(double x,
double alpha)
Evaluates the Rayleigh cumulative probability distribution function. |
static double |
studentsT(double t,
double df)
Evaluates the Student's t cumulative probability distribution function. |
static double |
uniform(double x,
double aa,
double bb)
Evaluates the uniform cumulative probability distribution function. |
static double |
Weibull(double x,
double gamma,
double alpha)
Evaluates the Weibull cumulative probability distribution function. |
| Methods inherited from class java.lang.Object |
|---|
clone, equals, finalize, getClass, hashCode, notify, notifyAll, toString, wait, wait, wait |
| Method Detail |
|---|
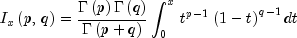
public static double beta(double x,
double pin,
double qin)
Method beta evaluates the distribution function of a
beta random variable with parameters pin and qin.
This function is sometimes called the incomplete beta ratio and,
with p = pin and q = qin, is
denoted by
. It is given by
![]()
where
is the gamma function. The
value of the distribution function
is the
probability that the random variable takes a value less than or equal to
x.
The integral in the expression above is called the incomplete beta
function and is denoted by
. The
constant in the expression is the reciprocal of the beta function
(the incomplete function evaluated at one) and is denoted by
.
beta uses the method of Bosten and Battiste (1974).

x - a double, the argument at which the function is to be evaluated.pin - a double, the first beta distribution parameter.qin - a double, the second beta distribution parameter.
double, the probability that a beta random variable takes
on a value less than or equal to x.
public static double betaMean(double pin,
double qin)
pin - a double, the first beta distribution parameter.qin - a double, the second beta distribution parameter.
double, the mean of the beta distribution
function.
public static double betaVariance(double pin,
double qin)
pin - a double, the first beta distribution parameter.qin - a double, the second beta distribution parameter.
double, the variance of the beta distribution
function.
public static double binomial(int k,
int n,
double pin)
Method binomial evaluates the distribution function of
a binomial random variable with parameters n and
p with p=pin. It does this by summing probabilities of the
random variable taking on the specific values in its range. These
probabilities are computed by the recursive relationship
![]()
To avoid the possibility of underflow, the probabilities are computed
forward from 0, if k is not
greater than n times p, and
are computed backward from n, otherwise. The
smallest positive machine number,
,
is used as the starting value for summing the probabilities, which are
rescaled by
if forward
computation is performed and by
if
backward computation is done. For the special case of
p = 0, binomial is set to
1; and for the case p = 1,
binomial is set to 1 if
k = n and to 0 otherwise.
k - the int argument for which the binomial distribution function
is to be evaluated.n - the int number of Bernoulli trials.pin - a double scalar value representing the
probability of success on each independent trial.
double scalar value representing the probability
that a binomial random variable takes a value less than or
equal to k. This value is the probability that k or fewer successes
occur in n independent Bernoulli trials, each of which
has a pin probability of success.
public static double bivariateNormal(double x,
double y,
double rho)
![]()

x - is the x-coordinate of the point for which the
bivariate normal distribution function is to be evaluated.y - is the y-coordinate of the point for which the
bivariate normal distribution function is to be evaluated.rho - is the correlation coefficient.
rho satisfies
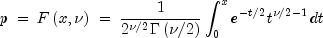
public static double chi(double chsq,
double df)
Method chi evaluates the cumulative distribution function
(CDF) F, of a chi-squared random variable with
df degrees of freedom, that is, with x = chsq
and
= df,
![]()
where
is the gamma function. The
value
is
the probability that the random variable takes a value less than or
equal to x.
For
, chi uses the
Wilson-Hilferty approximation (Abramowitz and Stegun [A&S] 1964, equation
26.4.17) for p in terms of the normal CDF, which is evaluated using method
normal.
For
, chi uses series
expansions to evaluate p. chi first
uses the A&S series 6.5.29 to calculate p, but if
and
, chi
recalculates p. If
or
, chi uses a continued
fraction expansion (A&S equation 6.5.31) to calculate p, otherwise
an asymptotic expansion (A&S equation 6.5.32) is used.
For greater right tail accuracy, see complementaryChi(double, double).

chsq - a double scalar value representing the argument
at which the function is to be evaluated.df - a double scalar value representing the number
of degrees of freedom. df must be positive.
double scalar value representing the
probability that a chi-squared random variable
takes a value less than or equal to chsq.public static double chiMean(double df)
df - a double scalar value representing the number
of degrees of freedom. This must be at least 0.5.
double, the mean of the chi-squared distribution
function.public static double chiVariance(double df)
df - a double scalar value representing the number
of degrees of freedom. This must be at least 0.5.
double, the variance of the chi-squared distribution
function.
public static double complementaryChi(double chsq,
double df)
Method complementaryChi evaluates the cumulative distribution function,
, of a chi-squared random variable with
df degrees of freedom, that is, with x = chsq
and
= df,
![]()
where
is the gamma function.
The value of the complementaryChi distribution function at
the point x,
, is the probability that
the random variable takes a value greater than x.
For
, complementaryChi uses the
Wilson-Hilferty approximation (Abramowitz and Stegun [A&S] 1964, equation
26.4.17) for p in terms of the normal CDF, which is evaluated using method
normal.
For
, complementaryChi uses series
expansions to evaluate p. complementaryChi first
uses the A&S series 6.5.29 to calculate p, but if
and
, complementaryChi
recalculates p. If
or
, complementaryChi uses a continued
fraction expansion (A&S equation 6.5.31) to calculate p, otherwise
an asymptotic expansion (A&S equation 6.5.32) is used.
complementaryChi provides greater right tail accuracy for the
Chi-squared distribution than does 1 - chi.

chsq - a double scalar value at which the function
is to be evaluated.df - a double scalar value representing the
number of degrees of freedom. df must be positive.
double scalar value representing the
probability that a chi-squared random variable
takes a value greater than chsq.
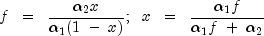
public static double complementaryF(double x,
double dfn,
double dfd)
complementaryF evaluates one minus the distribution
function of a Snedecor's F random variable with dfn
numerator degrees of freedom and dfd denominator degrees of
freedom. The function is evaluated by making a transformation to a beta
random variable and then using the function beta. If
X is an F variate with
and
degrees of freedom and
, then Y
is a beta variate with parameters
and
. complementaryF also uses a
relationship between F random variables that can be expressed as
follows:
![]()
This function provides higher right tail accuracy for the F distribution.

x - a double, the argument at which dfn - a double, the numerator degrees of freedom.
It must be positive.dfd - a double, the denominator degrees of
freedom. It must be positive.
double, the probability that an F
random variable takes on a value greater than
x.
public static double complementaryStudentsT(double t,
double df)
Method complementaryStudentsT evaluates one minus the
distribution function of a Student's t random variable with
df degrees of freedom. If the square of t is greater
than or equal to df, the relationship of a
t to an f random variable (and
subsequently, to a beta random variable) is exploited, and routine
beta is used. Otherwise, the method described by Hill
(1970) is used. If df is not an integer, if df
is greater than 19, or if df is greater than 200, a
Cornish-Fisher expansion is used to evaluate the distribution function.
If df is less than 20 and
is less than
2.0, a trigonometric series (see Abramowitz and
Stegun 1964, equations 26.7.3 and 26.7.4, with some rearrangement) is
used. For the remaining cases, a series given by Hill (1970) that
converges well for large values of t is used.
This function provides higher right tail accuracy for the Student's t distribution.

t - a double scalar value for which df - a double scalar value representing the number
of degrees of freedom. This must be at least one.
double scalar value representing the
probability that a Student's t random variable
takes a value greater than t.
public static double discreteUniform(int x,
int n)
x - an int scalar value representing the argument
at which the function is to be evaluated.
x should be a value between the lower
limit 0 and upper limit nn - an int scalar value representing the
upper limit of the discrete uniform distribution.
double scalar value representing the probability
that a discrete uniform random variable takes a value
less than or equal to x.
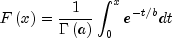
public static double exponential(double x,
double scale)
Method exponential is a special case of the gamma
distribution function, which evaluates the distribution function,
F, with scale parameter b and shape parameter a,
used in the gamma distribution function equal to 1.0. That is,
![]()
where
is the gamma function.
(The gamma function is the integral from
0 to
of the same integrand as
above). The value of the distribution function at the point
x is the probability that the random variable takes
a value less than or equal to x.
If x is less than or equal to 1.0,
gamma uses a series expansion. Otherwise, a continued
fraction expansion is used. (See Abramowitz and Stegun, 1964.)

x - a double scalar value representing the
argument at which the function is to be evaluated.scale - a double scalar value representing the scale
parameter, double scalar value representing the
probability that an exponential random variable takes
on a value less than or equal to x.
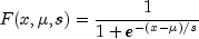
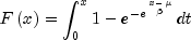
public static double extremeValue(double x,
double mu,
double beta)
Method extremeValue, also known as the Gumbel minimum
distribution, evaluates the extreme value distribution function,
F, of a uniform random variable with location parameter
and shape parameter
; that is,
![]()
The case where
and
is called the standard
Gumbel distribution.
Random numbers are generated by evaluating uniform variates
, equating the continuous distribution function,
and then solving for
by first computing
.

x - a double scalar value representing the
argument at which the function is to be evaluated.mu - a double scalar value representing the
location parameter, beta - a double scalar value representing the scale
parameter, double scalar value representing the
probability that an extreme value random variable takes
on a value less than or equal to x.
public static double F(double x,
double dfn,
double dfd)
F evaluates the distribution function of a Snedecor's F
random variable with dfn numerator degrees of freedom and
dfd denominator degrees of freedom. The function is
evaluated by making a transformation to a beta random variable and then
using the function beta. If X is an
F variate with
and
degrees of freedom and
, then Y
is a beta variate with parameters
and
. F also uses a relationship
between F random variables that can be expressed as
follows:
![]()
For greater right tail accuracy, see complementaryF(double, double, double).

x - a double, the argument at which
the function is to be evaluated.dfn - a double, the numerator degrees
of freedom. It must be positive.dfd - a double, the denominator degrees
of freedom. It must be positive.
double, the probability that an
F random variable takes on a value less than or
equal to x.
public static double gamma(double x,
double a)
Method gamma evaluates the distribution function,
F, of a gamma random variable with shape parameter
a; that is,
![]()
where
is the gamma function.
(The gamma function is the integral from
0 to
of the same integrand as
above). The value of the distribution function at the point
x is the probability that the random variable takes
a value less than or equal to x.
The gamma distribution is often defined as a two-parameter
distribution with a scale parameter b (which must
be positive), or even as a three-parameter distribution in which the
third parameter c is a location parameter. In the
most general case, the probability density function over
is
![]()
If T is such a random variable with parameters
a, b, and c,
the probability that
can be obtained from
gamma by setting
.
If X is less than a or if
X is less than or equal to 1.0,
gamma uses a series expansion. Otherwise, a continued
fraction expansion is used. (See Abramowitz and Stegun, 1964.)

x - a double scalar value representing the
argument at which the function is to be evaluated.a - a double scalar value representing the
shape parameter. This must be positive.
double scalar value representing the
probability that a gamma random variable takes
on a value less than or equal to x.
public static double geometric(int x,
double pin)
x - an int scalar value representing the argument
at which the function is to be evaluatedpin - an double scalar value representing the probability parameter
for each independent trial (the probability of success for each
independent trial).
double scalar value representing the probability
that a geometric random variable takes a value
less than or equal to x. The return value is the
probability that up to x trials would be observed
before observing a success.
public static double hypergeometric(int k,
int sampleSize,
int defectivesInLot,
int lotSize)
Method hypergeometric evaluates the distribution
function of a hypergeometric random variable with parameters
n, l, and m.
The hypergeometric random variable X can be thought
of as the number of items of a given type in a random sample of size
n that is drawn without replacement from a
population of size l containing m
items of this type. The probability function is
![]()
where
.
If k is greater than or equal to
i and less than or equal to
,
hypergeometric sums the terms in this expression for
j going from i up to
k. Otherwise, hypergeometric returns
0 or 1, as appropriate. So, as
to avoid rounding in the accumulation, hypergeometric
performs the summation differently depending on whether or not
k is greater than the mode of the distribution,
which is the greatest integer less than or equal to
.
k - an int, the argument at which
the function is to be evaluated.sampleSize - an int, the sample size, n.defectivesInLot - an int, the number of defectives
in the lot, m.lotSize - an int, the lot size, l.
double, the probability that a
hypergeometric random variable takes a value
less than or equal to k.
public static double logistic(double x,
double mu,
double s)
Method logistic evaluates the distribution function, F, of
a logistic random variable with location parameter
and
scale parameter s. It is given by
![]()
where
.
x - a double scalar value representing the argument
at which the function is to be evaluated.mu - a double scalar value representing the
location parameter, s - a double scalar value representing the
scale parameter.
double scalar value representing the probability
that a logistic random variable takes a value
less than or equal to x.
public static double logNormal(double x,
double mu,
double sigma)
![]()

x - a double scalar value representing the argument
at which the function is to be evaluated.mu - a double scalar value representing the location parameter.sigma - a double scalar value representing the shape parameter.
sigma must be a positive.
double scalar value representing the probability
that a standard lognormal random variable
takes a value less than or equal to x.
public static double noncentralBeta(double x,
double shape1,
double shape2,
double lambda)
The noncentral beta distribution is a generalization of the beta distribution. If
is a noncentral chi-square
random variable with noncentrality parameter
and
degrees of freedom, and
is a chi-square random variable with
degrees of freedom which is statistically
independent of
, then
![]()
is a noncentral beta-distributed random variable and
![]()
is a noncentral F-distributed random variable. The CDF for noncentral beta variable X can thus be simply defined in terms of the noncentral F CDF:
![]()
where
is the noncentral beta CDF with
= x,
= shape1,
= shape2, and noncentrality parameter
= lambda;
is the noncentral F CDF
with argument f, numerator and denominator degrees of freedom
and
respectively, and noncentrality parameter
; and:
![]()
(See documentation for class Cdf method noncentralF for a discussion of how the noncentral F CDF
is defined and calculated.)
With a noncentrality parameter of zero, the noncentral beta distribution is the same as the beta distribution.
x - a double scalar value representing the argument
at which the function is to be evaluated.
x must be nonnegative and less than or equal to 1.shape1 - a double scalar value representing the first
shape parameter. shape1 must be positive.shape2 - a double scalar value representing the second
shape parameter. shape2 must be positive.lambda - a double scalar value representing the noncentrality parameter.
lambda must nonnegative.
double scalar value representing the probability that a
noncentral beta random variable takes a value less than or equal to x.
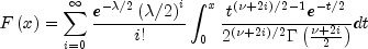
public static double noncentralchi(double chsq,
double df,
double alam)
Method noncentralchi evaluates the distribution function,
F, of a noncentral chi-squared random variable with
df degrees of freedom and noncentrality parameter alam, that is, with
,
, and
,
![]()
where
is the gamma function. This is a series of central
chi-squared distribution functions with Poisson weights.
The
value of the distribution function at the point x is
the probability that the random variable takes a value less than or
equal to x.
The noncentral chi-squared random variable can be defined by the distribution
function above, or alternatively and equivalently, as the sum of squares of independent
normal random variables. If the
have independent normal distributions with means
and variances equal to one and
![]()
then
has a noncentral chi-squared distribution with
degrees of freedom and noncentrality parameter equal to
![]()
With a noncentrality parameter of zero, the noncentral chi-squared distribution is the same as the chi-squared distribution.
noncentralchi determines the point at which the Poisson weight is greatest, and then
sums forward and backward from that point, terminating when the additional terms are sufficiently
small or when a maximum of 1000 terms have been accumulated. The recurrence relation 26.4.8 of
Abramowitz and Stegun (1964) is used to speed the evaluation of the central chi-squared distribution
functions.

chsq - a double scalar value representing the argument
at which the function is to be evaluated.df - a double scalar value representing the number
of degrees of freedom. df must be positive.alam - a double scalar value representing the noncentrality
parameter. This must be nonnegative, and alam + df
must be less than or equal to 200,000.
double scalar value representing the
probability that a chi-squared random variable
takes a value less than or equal to chsq.
public static double noncentralF(double f,
double df1,
double df2,
double lambda)
The noncentral F distribution is a generalization of the F
distribution. If
is a noncentral chi-square
random variable with noncentrality parameter
and
degrees of freedom, and
is a chi-square random variable with
degrees of freedom which is statistically
independent of
, then
![]()
![]()
![]()
![]()
![]()
![]()
df1, df2, lambda,
and f = f.
With a noncentrality parameter of zero, the noncentral F distribution is the same as the F distribution.
f - a double value representing the argument
at which the function is to be evaluated. f
must be nonnegative.df1 - a double value representing the number
of numerator degrees of freedom. df1
must be positive.df2 - a double value representing the number
of denominator degrees of freedom. df2 must
be positive.lambda - a double value representing the noncentrality
parameter. lambda must be nonnegative.
double scalar value representing the
probability that a noncentral F random variable
takes a value less than or equal to f.
public static double noncentralstudentsT(double t,
int idf,
double delta)
Method noncentralstudentsT evaluates the distribution function
F of a noncentral t random variable with idf
degrees of freedom and noncentrality parameter delta; that is, with
,
, and
,
![]()
where
is the gamma function. The
value of the distribution function at the point
is
the probability that the random variable takes a value less than or
equal to
.
The noncentral t random variable can be defined by the distribution function above,
or alternatively and equivalently, as the ratio of a normal random variable and an
independent chi-squared random variable. If w has a normal distribution with
mean
and variance equal to one,
has
an independent chi-squared distribution with
degrees of freedom, and
![]()
then
has a noncentral
distribution with
degrees of
freedom and noncentrality parameter
.
The distribution function of the noncentral
can also be expressed as a
double integral involving a normal density function (see, for example, Owen 1962, page 108). The method
noncentralstudentsT uses the method of Owen (1962, 1965), which uses repeated integration by parts
on that alternate expression for the distribution function.

t - a double scalar value representing the argument
at which the function is to be evaluated.idf - an int scalar value representing the number of
degrees of freedom. This must be positive.delta - a double scalar value representing the noncentrality
parameter.
double scalar value representing the probability
that a noncentral Student's t random variable takes a value less than or
equal to t.public static double normal(double x)
Method normal evaluates the distribution function,
, of a standard normal (Gaussian) random
variable, that is,
![]()
The value of the distribution function at the point x is the probability that the random variable takes a value less than or equal to x.
The standard normal distribution (for which normal is
the distribution function) has mean of 0 and
variance of 1. The probability that a normal
random variable with mean
and variance
is less than y
is given by normal evaluated at
.
is evaluated by use of the complementary
error function, erfc. The relationship is:
![]()

x - a double scalar value representing the argument
at which the function is to be evaluated.
double scalar value representing the probability
that a normal variable takes a value less than or equal to x.
public static double Pareto(double x,
double xm,
double k)
Method Pareto evaluates the distribution function, F, of
a Pareto random variable with scale parameter
and
shape parameter k. It is given by
![]()
where
and
. The function is
only defined for ![]()
x - a double scalar value representing the argument
at which the function is to be evaluated.xm - a double scalar value representing the
scale parameter, k - a double scalar value representing the
shape parameter, double scalar value representing the probability
that a Pareto random variable takes a value
less than or equal to x.
public static double poisson(int k,
double theta)
poisson evaluates the distribution function of a Poisson
random variable with parameter theta. theta,
which is the mean of the Poisson random variable, must be positive. The
probability function (with
) is
![]()
The individual terms are calculated from the tails of the
distribution to the mode of the distribution and summed.
poisson uses the recursive relationship
![]()
with
.
k - the int argument for which the Poisson distribution function
is to be evaluated.theta - a double scalar value representing the mean of the Poisson distribution.
double scalar value representing the probability that a Poisson random
variable takes a value less than or equal to k.
public static double Rayleigh(double x,
double alpha)
Method Rayleigh is a special case of Weibull distribution
function where the shape parameter gamma is 2.0; that is,
![]()
where alpha is the scale parameter.

x - a double scalar value representing the argument
at which the function is to be evaluated. It must be non-negative.alpha - a double scalar value representing the scale parameter.
double scalar value representing the probability
that a Rayleigh random variable takes a value less than or
equal to x.
public static double studentsT(double t,
double df)
Method studentsT evaluates the distribution function of
a Student's t random variable with df
degrees of freedom. If the square of t is greater
than or equal to df, the relationship of a
t to an f random variable (and
subsequently, to a beta random variable) is exploited, and routine
beta is used. Otherwise, the method described by Hill
(1970) is used. If df is not an integer, if df
is greater than 19, or if df is greater than 200, a
Cornish-Fisher expansion is used to evaluate the distribution function.
If df is less than 20 and
is less than
2.0, a trigonometric series (see Abramowitz and
Stegun 1964, equations 26.7.3 and 26.7.4, with some rearrangement) is
used. For the remaining cases, a series given by Hill (1970) that
converges well for large values of t is used.
For greater right tail accuracy, see complementaryStudentsT(double, double).

t - a double scalar value representing the argument
at which the function is to be evaluateddf - a double scalar value representing the number of
degrees of freedom. This must be at least one.
double scalar value representing the probability
that a Student's t random variable takes a value less than or
equal to t.
public static double uniform(double x,
double aa,
double bb)
Method uniform evaluates the distribution function,
F, of a uniform random variable with location parameter
aa and scale parameter bb; that is,


x - a double scalar value representing the argument
at which the function is to be evaluated.aa - a double scalar value representing the location parameter.bb - a double scalar value representing the scale parameter.
double scalar value representing the probability
that a uniform random variable takes a value less than or
equal to x.
public static double Weibull(double x,
double gamma,
double alpha)
Method Weibull evaluates the distribution function given by
![]()
x - a double scalar value representing the argument
at which the function is to be evaluated. It must be non-negative.gamma - a double scalar value representing the shape parameter, alpha - a double scalar value representing the scale parameter, double scalar value representing the probability
that a Weibull random variable takes a value less than or
equal to x.
|
JMSLTM Numerical Library 6.0 | |||||||
| PREV CLASS NEXT CLASS | FRAMES NO FRAMES | |||||||
| SUMMARY: NESTED | FIELD | CONSTR | METHOD | DETAIL: FIELD | CONSTR | METHOD | |||||||