JMSLTM Numerical Library 6.0

com.imsl.stat
Class InvCdf

java.lang.Object
  extended by com.imsl.stat.InvCdf

public final class InvCdf
extends Object

Inverse cumulative probability distribution functions.

See Also:
Example, Cumulative distribution function, Probability density function

Method Summary
static double beta(double p, double pin, double qin)
          Evaluates the inverse of the beta cumulative probability distribution function.
static double chi(double p, double df)
          Evaluates the inverse of the chi-squared cumulative probability distribution function.
static int discreteUniform(double p, int n)
          Returns the inverse of the discrete uniform cumulative probability distribution function.
static double exponential(double p, double scale)
          Evaluates the inverse of the exponential cumulative probability distribution function.
static double extremeValue(double p, double mu, double beta)
          Returns the inverse of the extreme value cumulative probability distribution function.
static double F(double p, double dfn, double dfd)
          Returns the inverse of the F cumulative probability distribution function.
static double gamma(double p, double a)
          Evaluates the inverse of the gamma cumulative probability distribution function.
static double geometric(double r, double pin)
          Returns the inverse of the discrete geometric cumulative probability distribution function.
static double logistic(double p, double mu, double s)
          Returns the inverse of the logistic cumulative probability density function.
static double logNormal(double p, double mu, double sigma)
          Returns the inverse of the standard lognormal cumulative probability distribution function.
static double noncentralBeta(double p, double shape1, double shape2, double lambda)
          Evaluates the inverse of the noncentral beta cumulative distribution function (CDF).
static double noncentralchi(double p, double df, double alam)
          Evaluates the inverse of the noncentral chi-squared cumulative probability distribution function.
static double noncentralF(double p, double dfn, double dfd, double lambda)
          Evaluates the inverse of the noncentral F cumulative distribution function (CDF).
static double noncentralstudentsT(double p, int idf, double delta)
          Evaluates the inverse of the noncentral Student's t cumulative probability distribution function.
static double normal(double p)
          Evaluates the inverse of the normal (Gaussian) cumulative probability distribution function.
static double Pareto(double p, double xm, double k)
          Returns the inverse of the Pareto cumulative probability density function.
static double Rayleigh(double p, double alpha)
          Returns the inverse of the Rayleigh cumulative probability distribution function.
static double studentsT(double p, double df)
          Returns the inverse of the Student's t cumulative probability distribution function.
static double uniform(double p, double aa, double bb)
          Returns the inverse of the uniform cumulative probability distribution function.
static double Weibull(double p, double gamma, double alpha)
          Returns the inverse of the Weibull cumulative probability distribution function.
 
Methods inherited from class java.lang.Object
clone, equals, finalize, getClass, hashCode, notify, notifyAll, toString, wait, wait, wait
 

Method Detail

beta

public static double beta(double p,
                          double pin,
                          double qin)
Evaluates the inverse of the beta cumulative probability distribution function.

Method beta evaluates the inverse distribution function of a beta random variable with parameters pin and qin, that is, with P = p, p = pin, and q = qin, it determines x (equal to beta (p, pin, qin)), such that

P = frac{{Gamma left( p right)Gamma
  left( q right)}}{{Gamma left( {p + q} right)}}int_0^x {t^{p - 1} }
  left( {1 - t} right)^{q - 1} dt

where Gamma(cdot) is the gamma function. The probability that the random variable takes a value less than or equal to x is P.

Parameters:
p - a double, the probability for which the inverse of the beta CDF is to be evaluated.
pin - a double, the first beta distribution parameter.
qin - a double, the second beta distribution parameter.
Returns:
a double, the probability that a beta random variable takes a value less than or equal to this returned value is p.
See Also:
Example

chi

public static double chi(double p,
                         double df)
Evaluates the inverse of the chi-squared cumulative probability distribution function.

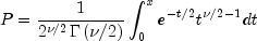
Method chi evaluates the inverse distribution function of a chi-squared random variable with df degrees of freedom, that is, with P = p and v = df, it determines x (equal to chi(p, df)), such that

P = frac{1}{{2^{nu /2} Gamma left(
  {nu /2} right)}}int_0^x {e^{ - t/2} t^{nu /2 - 1} } dt

where Gamma(cdot) is the gamma function. The probability that the random variable takes a value less than or equal to x is P.

For v lt 40, chi uses bisection, if v ge 2 or P gt 0.98, or regula falsi to find the point at which the chi-squared distribution function is equal to P. The distribution function is evaluated using chi.

For 40 le v lt 100, a modified Wilson-Hilferty approximation (Abramowitz and Stegun 1964, equation 26.4.18) to the normal distribution is used, and normal is used to evaluate the inverse of the normal distribution function. For v ge 100, the ordinary Wilson-Hilferty approximation (Abramowitz and Stegun 1964, equation 26.4.17) is used.

Parameters:
p - a double scalar value representing the probability for which the inverse chi-squared function is to be evaluated.
df - a double scalar value representing the number of degrees of freedom. This must be at least 0.5.
Returns:
a double scalar value. The probability that a chi-squared random variable takes a value less than or equal to this returned value is p.
See Also:
Example

discreteUniform

public static int discreteUniform(double p,
                                  int n)
Returns the inverse of the discrete uniform cumulative probability distribution function.

Parameters:
p - a double scalar value representing the probability for which the inverse discrete uniform function is to be evaluated
n - an int scalar value representing the upper limit of the discrete uniform distribution
Returns:
an int scalar value. The probability that a discrete uniform random variable takes a value less than or equal to this returned value is p.

exponential

public static double exponential(double p,
                                 double scale)
Evaluates the inverse of the exponential cumulative probability distribution function.

Method exponential evaluates the inverse distribution function of a gamma random variable with scale parameter =b and shape parameter a=1.0, that is, it determines x ={rm exponential} (p, 1.0)), such that

P = frac{1}{{Gamma left( a right)}}int_o^x
  {e^{ - t/b} } dt

where Gamma(cdot) is the gamma function. The probability that the random variable takes a value less than or equal to x is P. See the documentation for routine gamma for further discussion of the gamma distribution.

exponential uses bisection and modified regula falsi to invert the distribution function, which is evaluated using method gamma.

Parameters:
p - a double scalar value representing the probability at which the function is to be evaluated.
scale - a double scalar value representing the scale parameter.
Returns:
a double scalar value. The probability that an exponential random variable takes a value less than or equal to this returned value is p.
See Also:
Example

extremeValue

public static double extremeValue(double p,
                                  double mu,
                                  double beta)
Returns the inverse of the extreme value cumulative probability distribution function.

Parameters:
p - a double scalar value representing the probability for which the inverse extreme value function is to be evaluated.
mu - a double scalar value representing the location parameter.
beta - a double scalar value representing the scale parameter.
Returns:
a double scalar value. The probability that an extreme value random variable takes a value less than or equal to this returned value is p.

F

public static double F(double p,
                       double dfn,
                       double dfd)
Returns the inverse of the F cumulative probability distribution function.

Method F evaluates the inverse distribution function of a Snedecor's F random variable with dfn numerator degrees of freedom and dfd denominator degrees of freedom. The function is evaluated by making a transformation to a beta random variable and then using beta. If X is an F variate with v_1 and v_2 degrees of freedom and Y = v_1X/(v_2 + v_1X), then Y is a beta variate with parameters p = v_1/2 and q = v_2/2. If P le 0.5, F uses this relationship directly, otherwise, it also uses a relationship between X random variables that can be expressed as follows, using f, which is the F cumulative distribution function:

{rm F}(X, {it dfn}, {it dfd})=1 -
  {rm F}(1/X, {it dfd}, {it dfn})

Parameters:
p - a double, the probability for which the inverse of the F distribution function is to be evaluated. Argument p must be in the open interval (0.0, 1.0).
dfn - a double, the numerator degrees of freedom. It must be positive.
dfd - a double, the denominator degrees of freedom. It must be positive.
Returns:
a double, the probability that an F random variable takes a value less than or equal to this returned value is p.
See Also:
Example

gamma

public static double gamma(double p,
                           double a)
Evaluates the inverse of the gamma cumulative probability distribution function.

Method gamma evaluates the inverse distribution function of a gamma random variable with shape parameter a, that is, it determines x ={rm gamma} (p, a)), such that

P = frac{1}{{Gamma left( a right)}}int_o^x
  {e^{ - t} } t^{a - 1} dt

where Gamma(cdot) is the gamma function. The probability that the random variable takes a value less than or equal to x is P. See the documentation for routine gamma for further discussion of the gamma distribution.

gamma uses bisection and modified regula falsi to invert the distribution function, which is evaluated using method gamma.

Parameters:
p - a double scalar value representing the probability at which the function is to be evaluated.
a - a double scalar value representing the shape parameter. This must be positive.
Returns:
a double scalar value. The probability that a gamma random variable takes a value less than or equal to this returned value is p.
See Also:
Example

geometric

public static double geometric(double r,
                               double pin)
Returns the inverse of the discrete geometric cumulative probability distribution function.

Parameters:
r - a double scalar value representing the probability for which the inverse geometric function is to be evaluated
pin - an int scalar value representing the probability parameter for each independent trial (the probability of success for each independent trial).
Returns:
a double scalar value. The probability that a geometric random variable takes a value less than or equal to this returned value is the input probability, r.

logistic

public static double logistic(double p,
                              double mu,
                              double s)
Returns the inverse of the logistic cumulative probability density function.

Parameters:
p - a double scalar value representing the probability for which the inverse logistic function is to be evaluated.
mu - a double scalar value representing the location parameter, mu.
s - a double scalar value representing the scale parameter.
Returns:
a double scalar value. The probability that a logistic random variable takes a value less than or equal to this returned value is p.

logNormal

public static double logNormal(double p,
                               double mu,
                               double sigma)
Returns the inverse of the standard lognormal cumulative probability distribution function.

Parameters:
p - a double scalar value representing the probability for which the inverse lognormal function is to be evaluated.
mu - a double scalar value representing the location parameter.
sigma - a double scalar value representing the shape parameter. sigma must be a positive.
Returns:
a double scalar value. The probability that a standard lognormal random variable takes a value less than or equal to this returned value is p.

noncentralBeta

public static double noncentralBeta(double p,
                                    double shape1,
                                    double shape2,
                                    double lambda)
Evaluates the inverse of the noncentral beta cumulative distribution function (CDF).

If Z is a noncentral chi-square random variable with noncentrality parameter lambda and 2 alpha_1 degrees of freedom, and Y is a chi-square random variable with 2 alpha_2 degrees of freedom which is statistically independent of Z, then

X ;; = ;; frac{Z}{Z ; + ; Y} ;; = ;; frac{alpha_1 F}{alpha_1 F ; + ; alpha_2}

is a noncentral beta-distributed random variable and

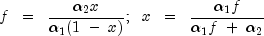
F ;; = ;; frac{alpha_2 Z}{alpha_1 Y} ;; = ;; frac{alpha_2 X}{alpha_1 (1  ; -  ; X)}

is a noncentral F-distributed random variable. The CDF for noncentral beta variable X can thus be simply defined in terms of the noncentral F CDF:

CDF_{ncbeta}(x, ;  alpha_1, ; alpha_2, ; lambda) ;; = ;;
  CDF_{ncF}(f, ; 2 alpha_1, ; 2 alpha_2, ; lambda)

where CDF_{ncbeta}(x, ;  alpha_1, ; alpha_2, ; lambda) is the noncentral beta CDF with x = x, alpha_1 = shape1, alpha_2 = shape2, and noncentrality parameter lambda = lambda; CDF_{ncF}(f, ; 2 alpha_1, ; 2 alpha_2, ; lambda) is the noncentral F CDF with argument f, numerator and denominator degrees of freedom 2 alpha_1 and 2 alpha_2 respectively, and noncentrality parameter lambda; and:

f ;; = ;; frac{alpha_2 x}{alpha_1 (1  ; -  ; x)}; ;;
  x ;; = ;; frac{alpha_1 f}{alpha_1 f ; + ; alpha_2}

(See documentation for class Cdf method noncentralF for a discussion of how the noncentral F CDF is defined and calculated.)

Method noncentralBeta evaluates

x ;; = ;; CDF_{ncbeta}^{-1}(p, ; alpha_1, ; alpha_2, ; lambda)

by first evaluating:

f ;; = ;; CDF_{ncF}^{-1}(p, ; 2 alpha_1, ; 2 alpha_2, ; lambda)

and then solving for x using x ;; = ;; frac{alpha_1 f}{alpha_1 f ; + ; alpha_2}. (See documentation for class Cdf method noncentralF for a discussion of how the inverse noncentral F CDF is calculated.)

Parameters:
p - a double scalar value representing the probability for which the inverse of the noncentral beta cumulative distribution function is to be evaluated. p must be non-negative and less than or equal to one.
shape1 - a double scalar value representing the first shape parameter. shape1 must be positive.
shape2 - a double scalar value representing the second shape parameter. shape2 must be positive.
lambda - a double scalar value representing the noncentrality parameter. lambda must be nonnegative.
Returns:
a double scalar value representing the inverse of the noncentral beta distribution function evaluated at p. The probability that a noncentral beta random variable takes a value less than or equal to noncentralBeta is p.

noncentralchi

public static double noncentralchi(double p,
                                   double df,
                                   double alam)
Evaluates the inverse of the noncentral chi-squared cumulative probability distribution function.

Method noncentralchi evaluates the inverse distribution function of a noncentral chi-squared random variable with df degrees of freedom and noncentrality parameter alam, that is, with P = p, nu = {rm df}, and lambda = {rm alam}, it determines c_{0} = noncentralchi(p, df, alam)), such that

P = sumlimits_{i = 0}^infty {frac{e^{-lambda/2}left(lambda/2right)^i}{i!}}
  int_0^{c_{0}} {frac{x^{left(nu + 2iright)/2-1}e^{ - x/2}} {2^{left(nu+2iright)/2}{Gammaleft(frac{nu+2i}{2}right)}}}
  dx

where Gamma (cdot) is the gamma function. The probability that the random variable takes a value less than or equal to c_{0} is P.

Method noncentralchi uses bisection and modified regula falsi to invert the distribution function, which is evaluated using noncentralchi. See noncentralchi for an alternative definition of the noncentral chi-squared random variable in terms of normal random variables.

Parameters:
p - a double scalar value representing the probability for which the inverse noncentral chi-squared distribution function is to be evaluated. p must be in the open interval (0.0, 1.0).
df - a double scalar value representing the number of degrees of freedom. This must be at least 0.5. but less than or equal to 200,000.
alam - a double scalar value representing the noncentrality parameter. This must be nonnegative, and alam + df must be less than or equal to 200,000.
Returns:
a double scalar value. The probability that a noncentral chi-squared random variable takes a value less than or equal to this returned value is p.
See Also:
Example

noncentralF

public static double noncentralF(double p,
                                 double dfn,
                                 double dfd,
                                 double lambda)
Evaluates the inverse of the noncentral F cumulative distribution function (CDF).

If X is a noncentral chi-square random variable with noncentrality parameter lambda and nu_1 degrees of freedom, and Y is a chi-square random variable with nu_2 degrees of freedom which is statistically independent of X, then

F ;; = ;; (X/nu_1)/(Y/nu_2)

is a noncentral F-distributed random variable whose CDF is given by:

CDF(f, nu_1, nu_2, lambda) ;; = ;; int_0^f {PDF(x, nu_1, nu_2, lambda)dx}

where the probability density function PDF(x, nu_1, nu_2, lambda) is given by:

PDF(x, nu_1, nu_2, lambda) ;; = ;; Psi ; sum_{k = 0}^infty {Phi_k}

Psi ;; = ;; frac{ e^{-lambda/2}(nu_1 x)^{nu_1/2}(nu_2)^{nu_2/2} }
  { x ; (nu_1 x ; + ; nu_2)^{(nu_1 + nu_2)/2} ; Gamma(nu_2/2) }

Phi_k ;; = ;; frac{ R^k ; Gamma(frac{nu_1 + nu_2}{2} ; + ; k) }
  { k! ; Gamma(frac{nu_1}{2} ; + ; k) }

R ;; = ;; frac{ lambda nu_1 x }{ 2 (nu_1 x ; + ; nu_2)}

where Gamma (cdot) is the gamma function, nu_1 = dfn, nu_2 = dfd, lambda = lambda, and p ;; = ;; CDF(f, nu_1, nu_2, lambda) is the probability that F le f.

Method noncentralF evaluates

f ;; = ;; CDF^{-1}(p, nu_1, nu_2, lambda)

Method noncentralF uses bisection and modified regula falsi search algorithms to invert the distribution function CDF(f, nu_1, nu_2, lambda), which is evaluated using method noncentralF. For sufficiently small p, an accurate approximation of CDF^{-1}(p, nu_1, nu_2, lambda) can be used which requires no such inverse search algorithms.

Parameters:
p - a double scalar value representing the probability for which the inverse of the noncentral F cumulative distribution function is to be evaluated. p must be non-negative and less than one.
dfn - a double scalar value representing the number of numerator degrees of freedom. dfn must be positive.
dfd - a double scalar value representing the number of denominator degrees of freedom. dfd must be positive.
lambda - a double scalar value representing the noncentrality parameter. lambda must nonnegative.
Returns:
a double scalar value representing the inverse of the noncentral F distribution function evaluated at p. The probability that a noncentral F random variable takes a value less than or equal to noncentralF(p, dfn, dfd, lambda) is p.

noncentralstudentsT

public static double noncentralstudentsT(double p,
                                         int idf,
                                         double delta)
Evaluates the inverse of the noncentral Student's t cumulative probability distribution function.

Method noncentralstudentsT evaluates the inverse distribution function of a noncentral t random variable with idf degrees of freedom and noncentrality parameter delta; that is, with P = p, nu = idf, delta = delta, it determines t_{0} = noncentralstudentsT(p, idf, delta)), such that

P = int_{-{infty}}^{t_{0}}{frac{nu^{nu/2}e^{{-delta^2}/2}}
 {{sqrt{pi}Gammaleft(nu/2right)left(nu+x^2right)}^{left(nu+1right)/2}}  }
 sumlimits_{i = 0}^infty {Gammaleft(left(nu+i+1right)/2right)left(frac{delta^i}{i!}right)
 left(frac{2x^2}{nu+x^2}right)^{i/2} dx}

where Gamma (cdot) is the gamma function. The probability that the random variable takes a value less than or equal to t_{0} is P. See noncentralstudentsT for an alternative definition in terms of normal and chi-squared random variables. The method noncentralstudentsT uses bisection and modified regula falsi to invert the distribution function, which is evaluated using noncentralstudentsT.

Parameters:
p - a double scalar value representing the probability for which the function is to be evaluated.
idf - an int scalar value representing the number of degrees of freedom. This must be positive.
delta - a double scalar value representing the noncentrality parameter.
Returns:
a double scalar value. The probability that a noncentral Student's t random variable takes a value less than or equal to this returned value is p.
See Also:
Example

normal

public static double normal(double p)
Evaluates the inverse of the normal (Gaussian) cumulative probability distribution function.

Method normal evaluates the inverse of the distribution function, Phi, of a standard normal (Gaussian) random variable, that is, normal ({rm p})=Phi-1(p), where

Phi left( x right) = frac{1}{{sqrt
  {2pi } }}int_{ - infty }^x {e^{ - t^2 /2} dt}

The value of the distribution function at the point x is the probability that the random variable takes a value less than or equal to x. The standard normal distribution has a mean of 0 and a variance of 1.

Parameters:
p - a double scalar value representing the probability at which the function is to be evaluated.
Returns:
a double scalar value. The probability that a standard normal random variable takes a value less than or equal to this returned value is p.
See Also:
Example

Pareto

public static double Pareto(double p,
                            double xm,
                            double k)
Returns the inverse of the Pareto cumulative probability density function.

Parameters:
p - a double scalar value representing the probability for which the inverse Pareto function is to be evaluated.
xm - a double scalar value representing the scale parameter, x_m.
k - a double scalar value representing the shape parameter.
Returns:
a double scalar value. The probability that a Pareto random variable takes on a value less than or equal to this returned value is p.

Rayleigh

public static double Rayleigh(double p,
                              double alpha)
Returns the inverse of the Rayleigh cumulative probability distribution function.

Parameters:
p - a double scalar value representing the probability for which the inverse Rayleigh function is to be evaluated.
alpha - a double scalar value representing the scale parameter.
Returns:
a double scalar value. The probability that a Rayleigh random variable takes a value less than or equal to this returned value is p.

studentsT

public static double studentsT(double p,
                               double df)
Returns the inverse of the Student's t cumulative probability distribution function.

studentsT evaluates the inverse distribution function of a Student's t random variable with df degrees of freedom. Let v = df. If v equals 1 or 2, the inverse can be obtained in closed form, if v is between 1 and 2, the relationship of a t to a beta random variable is exploited and beta is used to evaluate the inverse; otherwise the algorithm of Hill (1970) is used. For small values of v greater than 2, Hill's algorithm inverts an integrated expansion in 1/(1 + t^2/v) of the t density. For larger values, an asymptotic inverse Cornish-Fisher type expansion about normal deviates is used.

Parameters:
p - a double scalar value representing the probability for which the inverse Student's t function is to be evaluated.
df - a double scalar value representing the number of degrees of freedom. This must be at least one.
Returns:
a double scalar value. The probability that a Student's t random variable takes a value less than or equal to this returned value is p.
See Also:
Example

uniform

public static double uniform(double p,
                             double aa,
                             double bb)
Returns the inverse of the uniform cumulative probability distribution function.

Parameters:
p - a double scalar value representing the probability for which the inverse uniform function is to be evaluated.
aa - a double scalar value representing the minimum value.
bb - a double scalar value representing the maximum value.
Returns:
a double scalar value. The probability that a uniform random variable takes a value less than or equal to this returned value is p.

Weibull

public static double Weibull(double p,
                             double gamma,
                             double alpha)
Returns the inverse of the Weibull cumulative probability distribution function.

Parameters:
p - a double scalar value representing the probability for which the inverse Weibull function is to be evaluated.
gamma - a double scalar value representing the shape parameter.
alpha - a double scalar value representing the scale parameter.
Returns:
a double scalar value. The probability that a Weibull random variable takes a value less than or equal to this returned value is p.

JMSLTM Numerical Library 6.0

Copyright © 1970-2009 Visual Numerics, Inc.
Built September 1 2009.